난이도 : 골드 5
유형 : 트리
https://www.acmicpc.net/problem/5639
이진 검색 트리는 다음과 같은 세 가지 조건을 만족하는 이진 트리이다.

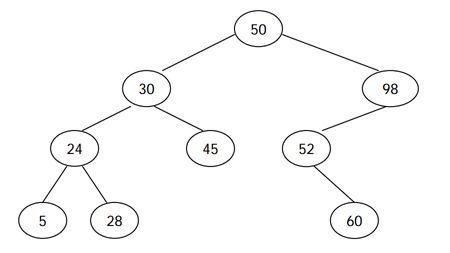
전위 순회 (루트-왼쪽-오른쪽)은 루트를 방문하고, 왼쪽 서브트리, 오른쪽 서브 트리를 순서대로 방문하면서 노드의 키를 출력한다. 후위 순회 (왼쪽-오른쪽-루트)는 왼쪽 서브트리, 오른쪽 서브트리, 루트 노드 순서대로 키를 출력한다. 예를 들어, 위의 이진 검색 트리의 전위 순회 결과는 50 30 24 5 28 45 98 52 60 이고, 후위 순회 결과는 5 28 24 45 30 60 52 98 50 이다.
이진 검색 트리를 전위 순회한 결과가 주어졌을 때, 이 트리를 후위 순회한 결과를 구하는 프로그램을 작성하시오.
트리를 전위 순회한 결과가 주어진다. 노드에 들어있는 키의 값은 106보다 작은 양의 정수이다. 모든 값은 한 줄에 하나씩 주어지며, 노드의 수는 10,000개 이하이다. 같은 키를 가지는 노드는 없다.
입력으로 주어진 이진 검색 트리를 후위 순회한 결과를 한 줄에 하나씩 출력한다.
전위 순회는 루트부터 탐색을 하기 때문에 처음 값이 root이다.
이후 순회 순서에 맞게 반복을 하며 현재 값보다 작으면 왼쪽 자식노드, 크면 오른쪽 자식노드로 넘겨 트리를 완성해주었다.
트리를 완성한 후 후위 순회를 구현하여 출력해주면 된다.

/**
* BOJ_5639_G5_이진 검색 트리
* @author mingggkeee
* 트리
*/
import java.io.BufferedReader;
import java.io.IOException;
import java.io.InputStreamReader;
public class BOJ_5639 {
static class Node {
int inputNum;
Node left, right;
Node(int inputNum) {
this.inputNum = inputNum;
}
Node(int inputNum, Node left, Node right) {
this.inputNum = inputNum;
this.left = left;
this.right = right;
}
void insert(int num) {
if (num < this.inputNum) { // 왼쪽 노드
if (this.left == null)
this.left = new Node(num);
else this.left.insert(num);
} else { // 오른쪽 노드
if (this.right == null)
this.right = new Node(num);
else this.right.insert(num);
}
}
}
public static void main(String[] args) throws IOException {
BufferedReader br = new BufferedReader(new InputStreamReader(System.in));
Node root = new Node(Integer.parseInt(br.readLine()));
String input;
while (true) {
input = br.readLine();
if (input == null || input.equals(""))
break;
root.insert(Integer.parseInt(input));
}
postOrder(root);
}
static void postOrder(Node node) { // 후위 순위
if (node == null)
return;
postOrder(node.left);
postOrder(node.right);
System.out.println(node.inputNum);
}
}