BFS(Breadth First Search)
- 너비 우선 탐색
- BFS는 루트 노드의 자식 노드들을 먼저 모두 차례로 방문한 후에, 방문했던 자식 노드들을 기준으로 하여 다시 해당 노드의 자식 노드들을 차례로 방문하는 방식
- 인접한 노드들에 대해 탐색을 한 후, 차례로 다시 BFS를 진행해야 하므로, FIFO 형태의 자료구조 큐를 활용
BFS 알고리즘
BFS start
- 큐 생성
- 루트를 큐에 삽입
- while(!queue.isempty)
- p <- 큐의 첫 번째 원소 빼내기
- p 방문
- for(p와 연결된 모든 간선)
- c <- t의 자식 노드
- c를 큐에 삽입
End BFS
DFS(Depth First Search)
- 깊이 우선 탐색
- 루트 노드에서 출발하여 한 방향으로 갈 수 있는 경로가 있는 곳까지 깊이 탐색해 가다가 더 이상 갈 곳이 없게 되면, 가장 마지막에 만났던 갈림길 간선이 있는 노드로 되돌아와 다른 방향의 노드로 탐색을 계속 반복하여 결국 모든 노드를 방문하는 순회 알고리즘
- 가장 마지막에 만났던 갈림길의 노드로 되돌아가 다시 DFS를 반복해야 하므로 재귀로 구현하거나 LIFO 구조의 스택 사용
DFS 알고리즘
DFS(루트)
루트 방문
for(루트의 모든 자식 노드 c)
DFS(c)
end DFS
이진트리의 순회
- 순회 : 트리의 노드들을 체계적으로 방문하는 것
- 3가지의 기본적인 순회방법
- 전위순회(루트->왼쪽 자식노드->오른쪽 자식노드)
- 중위순회(왼쪽 자식노드->루트->오른쪽 자식노드)
- 후위순회(왼쪽 자식노드->오른쪽 자식노드->루트)
전위 순회(preorder traversal)
- 수행 방법
- 현재 노드 T를 방문해서 처리 - 부모노드
- 현재 노드 T의 왼쪽 자식노드로 이동 - 왼쪽 자식 노드
- 현재 노드 T의 오른쪽 자식 노드로 이동 - 오른쪽 자식 노드
- 알고리즘
preorder_traverse(T){
if(T is not null) {
visit(T);
preorder_traverse(T.left);
preorder_traverse(T.right);
}
}
중위 순회(inorder traversal)
-
수행 방법
- 현재 노드 T의 왼쪽 자식노드로 이동 - 왼쪽 자식 노드
- 현재 노드 T를 방문해서 처리 - 부모 노드
- 현재 노드 T의 오른쪽 자식노드로 이동 - 오른쪽 자식 노드
-
알고리즘
inorder_traverse(T){
if(T is not null){
inorder_traverse(T.left);
visit(T);
inorder_traverse(T.right);
}
}
후위 순회(postorder traversal)
-
수행 방법
- 현재 노드 T의 왼쪽 자식노드로 이동 - 왼쪽 자식 노드
- 현재 노드 T의 오른쪽 자식노드로 이동 - 오른쪽 자식 노드
- 현재 노드 T를 방문해서 처리 - 부모 노드
-
알고리즘
postorder_traverse(T){
if(T is not null){
postorder_traverse(T.left);
postorder_traverse(T.right);
visit(T);
}
}
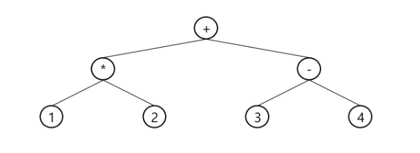
수식트리
- 수식을 표현하는 이진 트리
- 수식 이진 트리(Expression Binary Tree)라고 부르기도 한다.
- 연산자는 루트 노드이거나 가지 노드
- 피연산자(숫자)는 모두 leaf노드
