퍼셉트론 알고리즘이란?
인공신경망의 기본 구성 요소 중 하나로, 입력 신호들을 받아 가중치를 곱한 후, 이를 합산하여 특정 임계값을 초과하면 활성화되어 출력하는 알고리즘
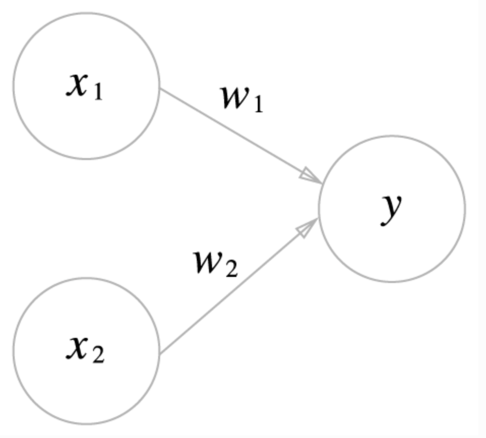
x1과 x2는 입력신호, y는 출력신호, w1과 w2는 가중치 (가중치가 클수록, 해당 신호 중요)
그림의 원은 뉴런 또는 노드라고 부른다.
뉴런에서 보내온 신호의 총 합이 정해진 한계(임곘값)을 넘어설 때만 1을 출력 = 신호가 흐른다 = 뉴런 활성화
단순한 논리 회로!
논리게이트 : 하드웨어를 구성하는 기본 요소, 한 개 이상의 입력 단자와 하나의 출력 단자로 구성되는 전자회로
정논리 (positive logic) : 논리 1을 high 전압, 논리 0을 low 전압(ground)
컴퓨터 시스템을 비롯한 모든 디지털 시스템은 여러 논리게이트가 모여 조합논리회로와 순서논리회로로 구성된다.
기본이 되는 논리게이트 : AND, OR NOT
이들을 조합해서 만든 게이트 : NAND, NOR, XOR, XNOR
편향 도입
편향을 도입한 이유 ...?
퍼셉트론의 한계
다층 퍼셉트론으로 비선형(?)을 표현할 수 있을지 ...?