
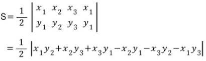
✅ 삼각형의 신발끈 공식

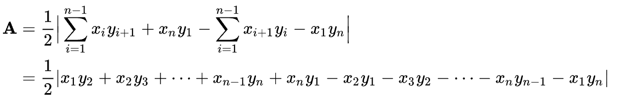
✅ 다각형의 신발끈 공식

✅ 코드 구현
let sum = 0;
for (let i = 1; i <= N - 1; i++) {
sum += input[i][0] * input[i + 1][1] - input[i + 1][0] * input[i][1];
}
let answer = sum + input[N][0] * input[1][1] - input[1][0] * input[N][1];
console.log((Math.abs(answer) / 2).toFixed(1));
✅ 구현 방법
p1 = (x1,y1) p2 = (x2,y2), p3 = (x3,y3) 일때
p1p2를 이은 선분벡터, p2p3를 이은 선분벡터의 CCW구하기
function CCW(input) {
let p1 = input[0];
let p2 = input[1];
let p3 = input[2];
return (p2[0] - p1[0]) * (p3[1] - p2[1]) - (p3[0] - p2[0]) * (p2[1] - p1[1]);
}
retrun 값이 -1이면 시계방향 내각 180도 미만
retrun 값이 0이면 내각 180도
retrun 값이 1이면 반시계방향 내각 180도 초과