
"Efficiently Modeling Long Sequences with Structured State Spaces"의 Introduction 부분 읽으면서 정리했던 내용
[ Contents ]
LRDSSMLSSLproblemS4- toward - general purpose sequence model
요약하자면, LRD 문제해결을 위해 state space representation 개념을 도입, 이전 연구인 LSSL모델에서 보였던 bottleneck 현상의 해결을 위해 몇 가지 방법의 적용을 통해 S4 model 제안, 해당 모델의 generalized sequence model로의 발전 가능성까지 소개
시퀀스 모델링의 중심 문제 중 하나는 장기간 의존성(LRDs)을 효율적으로 처리하는 것. → 먼 거리의 데이터의 dependency를 유지하는것
LRD : spatial or time-series data의 분석에서 주로 발생하는 현상으로, time interval / spatial distance의 증가에 따라 두 지점(point)간의 통계적 의존성(statistical dependence)이 감소하는 속도와 관련이 있음Real-world에서의 시계열 데이터는 수 만개의 time-step에 걸쳐 추론을 요구하는데, 수 천개의 time-step을 다루는 소수의 모델만이 있음.
Long-Range Arena(LRA)의 벤치마크 결과는 LRD에서 현재의 시퀀스 모델들이 결과가 좋지 못하며, Path-X와 같은 작업에서는 무작위 추측보다도 못한 결과를 보임.
LRA : benchmark, Long-Range Arena, specifically focused on evaluating model quality under “long-context scenarios”LRD를 해결하기 위해 기존 모델(continuous-time models (CTMs), RNNs, CNNs, and Transformers등)에많 은 특수한 변형들이 시도되었음.
예 :
- vanishing gradients를 해결하기 위한 orthogonal RNN, Lipschitz RNNs
- context size의 증가를 위한 dilated convolutions
- sequence 길이의 quadratic dependence를 줄이기 위한 다양한 Transformer들
LRD를 대상으로 한 이런 시도들에도, LRA나 raw audio classification에서 결과가 좋지 못함.
SSM의 도입이 제시됨 : SSM(상태공간모형) - Markov chain을 기반으로 하는 시계열 모형의 일종
state matrices A가 적용되었을 때 예외적으로 우수한 성능을 발휘할 수 있음을 보여주었습니다.Linear State Space Layer, LSSL)는 CTM, RNN 및 CNN 모델의 강점을 개념적으로 통합하며,
Thus for reasonably sized models (e.g. N = 256 in Gu et al. [18])의 경우 LSSL은 비슷한 크기의 CNN, RNN보다 더 많은 메모리를 사용
LSSL를 위한 이론적인 efficient algorithms이 제안되었지만 우리는 이들이 numerically하게 불안정한 것을 보였다.
특히 “special A matrix”는 선형대수학적으로 아주 “non-normal”해서 일반적인 알고리즘의 적용을 어렵게 한다.
결과적으로 : LSSL은 SSM이 strong performance를 보여주었지만, 현실적이지 않음
→ 이 paper에서 제시한 모델
S4 model을 제시reparameterize : decomposing them as the “sum of a low-rank and normal term”truncated generating function을 계산해서궁극적으로, 잘 연구되어있고 안정적인 “1) low-rank term은
Woodbury identity로 수정
2) normal term은 안정적으로 diagonalized(대각화)
Cauchy kernel”로 축소될 수 있었음computation,
memory usage
→ sequence model에 적합해짐
wide range of problem을 다루는 single model의 개발. → generalizationdomain-specific preprocessing, inductive biases, and architectures.Deep SSM은 이런 general sequence modeling solution에 개념적으로 강점이 있음 :
On CIFAR-10 density estimation,
S4 is competitive with the best autoregressive models (2.85 bits per dim).
On WikiText-103 language modeling,
S4 substantially closes the gap to Transformers (within 0.8 perplexity),
”settingSoTA for attention-free models".
On CIFAR-10 and WikiText-103 에서
RNN처럼, latent state를 사용해서
autoregressive model의 standard보다 60배 빠른 pixel/token generation을 수행
Like specialized CTMs,
S4는 time-series sampling frequency의 변화에 retraining 없이 적응할 수 있음
(e.g. at0.5×frequency on speech classification.)
architectural changes없이,
S4는
- speech classification에서 “Speech CNNs”을 능가,
- time-series forecasting problems에서 “specialized Informer model”을 능가
- sequential CIFAR에서90% accuracy이상으로 “2-D ResNet” 과 일치하는 결과
이후 background에서 S4 이전의 연구 내용들(HiPPO, LSSL)과 state space 의 continuous to discrete time 등, method section에서는 S4 architecture의 세부적인 내용들을 다룬다
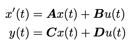
State Space Models: A Continuous-time Latent State Model
Addressing Long-Range Dependencies with HiPPO
Discrete-time SSM: The Recurrent Representation
Training SSMs: The Convolutional Representation
Motivation: Diagonalization
The S4 Parameterization: Normal Plus Low-Rank
S4 Algorithms and Computational Complexity
Architecture Details of the Deep S4 Layer