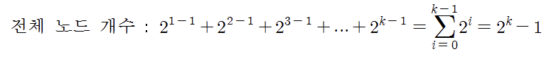
트리의 정의
- 트리는 싸이클을 갖지 않는 연결된 그래프이며 하나 이상의 유한 집합이다.
- Rooted Tree를 트리라고 한다.(루트라고 하는 특별히 지정된 노드가 있다)
- 루트 노드를 제외한 나머지 노드는 n≥0으로 분할된다.
- 분리된 집합 T1, …, Tn, 여기서 이들 각각의 집합은 a라고 할 때, T1,…, Tn을 뿌리의 하위 트리(subtrees)라고 부른다.

트리의 응용 분야
- 계층적인 조직표현을 할 때 거의 필수적으로 사용 됨.
- 컴퓨터 디스크의 디렉토리 구조
- 인공지능에서의 결정트리(decision Tree)
- 데이터 관리를 위한 도구
트리 용어 설명

| 용어 이름 | 설명 |
|---|
| 노드(node) | 트리의 구성 기본 요소 |
| 간선(edge) | 노드와 노드를 연결하는 선 |
| 차수(degree) | - 노드가 가지고 있는 자식 노드의 개수(노드의 하위 트리(subtrees) 수) - 트리의 차수: 트리에 있는 노드의 최대 차수 |
| 하위 트리(subtrees) | 자식 노드와 그 자식 노드의 자손들로 이루어진 트리 |
| 리프(leaf) | - 단자 노드(terminal node), 차수가 0인 노드 - <반대> 비단말 노드: 적어도 하나의 자식을 가지는 노드 |
| 루트(root) | - 부모가 없는 노드 - 부모, 자식, 형제, 조상, 자손 노드: 인간과 동일하게 생각하면 됨 - 조상: 루트에서 노드까지 가는 경로를 따라 있는 모든 노드 - 자손: 하위 트리에 있는 모든 노드 |
| 레벨(level) | 트리 각 층의 번호 |
| 높이(height) | 트리의 최대 레벨 |
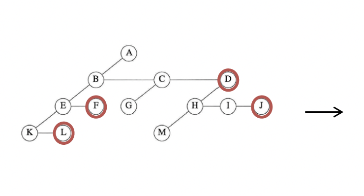
리스트 표현
"(A (B (E (K, L), F), C (G), D( H (M), I, J) ) )"
Left Child-Right Sibling Representation as a Degree Two Trees

이진 트리(Binary Tree)
- 트리는 크게 이진트리와 일반트리로 나눌 수 있다.
- 일반 트리와 이진 트리는 노드가 0인 트리는 없지만 빈 이진 트리가 있고, 자식들(서브 트리) 간의 순서가 존재한다는 점이 다르다.
-
- 이진 트리(binary Tree)는 모든 노드가 최대 2개의 서브 트리를 가지고 있는 트리이다.
- 이때, 서브 트리는 공집합일 수 있으며, 모든 노드의 차수가 2 이하가 된다
- 이진 트리에는 서브 트리간의 순서가 존재한다.
- 이진 트리의 노드의 개수가 n개이면 간선의 개수는 n-1이다.


이진 트리의 성질
| Properties of Binary Trees |
|---|
높이가 h인 이진트리에서 노드의 개수 - 최소 h개의 노드 - 최대 2h-1개의 노드 |
 |
n개의 노드를 가지는 이진트리의 높이 - 최대 n - 최소 log2(n+1) |
 |
이진 트리의 분류

- 포화 이진 트리(full binary tree)
- 트리의 각 레벨에 노드가 꽉 차있는 이진트리.

- 포화 이진 트리에는 다음과 같이 각 노드에 번호를 붙일 수 있다.

- 완전 이진 트리(complete binary tree)
- 레벨 1부터 k-1까지는 노드가 모두 채워져 있고, 마지막 레벨 k에서는 왼쪽부터 오른쪽으로 노드가 순서대로 채워져 있는 이진트리
- 포화 이진 트리와 노드 번호가 일치한다.

- 포화 이진 트리 vs 완전 이진 트리
-
| 포화 이진 트리 | 완전 이진 트리 |
|---|
| 정의 | - 모든 레벨이 채워져있는 이진트리 - 노드로 완전히 채워진다 - 마지막 레벨의 노드는 왼쪽에서 오른쪽으로 (순차적인 방식)
| - 모든 레벨이 채워져있는 이진트리 - 노드로 완전히 채워진다 - 마지막 레벨의 노드는 왼쪽에서 오른쪽으로 (순차적인 방식) 그러나 일부 빈 공간이 있을 수 있다 |
| 노드 개수 | N = 2k-1 | N = 2k-1 |
| 빈 공간 | - 모든 레벨이 꽉 찼으므로 빈 공간이 없다 | - 빈 공간이 있을 수 있다. - 마지막 레벨의 오른쪽에서만 생길 수 있다 |
이진 트리의 표현법
- 이진 트리의 표현에는 배열을 이용하는 방법과 포인터를 이용하는 방법이 있다.
1. 배열 표현법
- 모든 이진 트리를 포화 이진 트리라고 가정한 뒤, 루트 노드를 1번으로 시작하혀 각 노드에 번호를 붙이고 그 번호를 배열의 인덱스로 사용한다.
- 노드가 있으면 데이터를 저장하고 노드가 없으면 null값을 저장한다.
- 노드 i의 부모 노드 인덱스는 어떻게 계산할까?-> i/2
- 노드 i의 왼쪽 자식 노드 인덱스는? -> 2i
- 노드 i의 오른쪽 자식 노드 인덱스? -> 2i + 1
2. 링크 표현법
- 노드를 포인터를 포함하는 구조체로 정의한다.
- 포인터를 이용하여 간선(edge)를 포함한다.
이진 트리의 순회(Binary Tree Travesal)
- 트리 순회: 트리의 각 노드를 한 번만 방문하는 것
- 이진 트리를 횡단할 때,
- L, V, R: 왼쪽 이동, 노드 방문, 오른쪽 이동
- 횡단에 가능한 6가지 조합
- LVR, LRV, VLR, VRL, RVL, RLV
- 왼쪽을 오른쪽보다 먼저 순회한다면 세가지가 남는다.
- LVR: inorder
- LRV: postorder
- VLR: preorder
- 이는 각각 infix, postfix, prefix와 유사한 점이 존재한다.
- A/Bcd+E의 다항식을 이진 트리로 고려해 본다면, 연산자를 포함하는 각 노드에 대해
- 왼쪽 하위 트리는 왼쪽 피연산자
- 오른쪽 하위 트리 오른쪽 피연산자로 나눌 수 있다.
