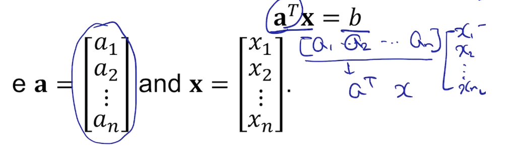
: 계수를 갖고 있는 여러 변수들의 합이 상수이다

위의 방정식을 내적으로 표현

정의 : 방정식들의 집합
예시 : 연립 방정식


정의: 정사각 행렬에서 가운데 있는 값들이 1이고 나머지는 0이다. 어떤 벡터랑 곱해져도 자기 자신만 나오기 때문이다.



정의 : 정사각행렬이고 n * n 꼴이며
이런 관계를 가지는 것




*가우시안 소거법
Ax = b
: 공식이 없다. 수 많은 해가 있기 때문이다!!
: 역행렬 공식을 사용했을 때 분모가 0이 되는 경우.(비율이 같다


