김영한 강사님 - 스프링 핵심 원리 기본편
을 수강하고 정리한 글 입니다.
스프링 컨테이너, 빈
스프링 컨테이너 생성
ApplicationContext applicationContext = new AnnotationConfigApplicationContext(AppConfig.class);
- ApplicationContext가 스프링 컨테이너를 의미함
- 스프링 컨테이너는 인터페이스화 돼어 있어서 xml,애노테이션 기반의 자바 설정 클래스(AppConfig)로도 만들 수 있음
- 더 정확히는 스프링 컨테이너를 부를 때 BeanFactory , ApplicationContext 로 구분함, BeanFactory 를 직접 사용하는 경우는 거의 없으므로
일반적으로 ApplicationContext 를 스프링 컨테이너라 함
스프링 컨테이너 생성 과정
- 컨테이너 생성

- new AnnotationConfigApplicationContext(AppConfig.class)
- 인자로 구성 정보(AppConfig.class)를 넘겨 줘야됨
-
스프링 빈 등록

- 인자로 넘어온 구성 정보를 활용해 빈 등록(빈 이름 : 메소드 이름/ 빈 객체 : 메소드 반환객체)
- 빈 이름은 @Bean(name="memberService2") 애노테이션을 활용해 직접 지정해줄 수 있음
- 빈 이름은 중복이 있으면 안됨 중복이 있으면 다른 빈이 무시되거나, 기존 빈을 덮어버림
- 스프링 빈 의존 관계 설정

- 스프링 컨테이너는 설정 정보를 참고해서 의존관계를 주입(DI)한다.
- 단순히 자바 코드를 호출하는 것 같지만, 차이가 있음 ( 싱글톤 컨테이너 ) - 밑에서 설명
스프링은 빈을 생성하고, 의존관계를 주입하는 단계가 나누어져 있음 여기서는 개념적으로 나눠서 설명했지만, 이렇게 자바 코드로 스프링
빈을 등록하면 생성자를 호출하면서 의존관계 주입도 한번에 처리됨(의존관계 자동 주입)
컨테이너에 등록된 빈 조회하기
@Test
@DisplayName("모든빈 출력하기")
void findAllBean(){
String[] beenDefinitionNames = ac.getBeanDefinitionNames();
for (String beenDefinitionName : beenDefinitionNames) {
Object bean = ac.getBean(beenDefinitionName);
System.out.println("name = " + beenDefinitionName + " object = " + bean);
}
}
- 모든 빈 출력
- ac.getBeanDefinitionNames() : 스프링에 등록된 모든 빈 이름을 조회하는 함수
- ac.getBean() : 빈 이름으로 빈 객체(인스턴스)를 조회하는 함수
@Test
@DisplayName("애플리케이션 빈 출력하기")
void findApplicationBean(){
String[] beenDefinitionNames = ac.getBeanDefinitionNames();
for (String beenDefinitionName : beenDefinitionNames) {
BeanDefinition beanDefinition = ac.getBeanDefinition(beenDefinitionName);
if (beanDefinition.getRole() == beanDefinition.ROLE_APPLICATION){
Object bean = ac.getBean(beenDefinitionName);
System.out.println("name = " + beenDefinitionName + " object = " + bean);
}
}
}
- 애플리케이션 빈 출력하기
- 스프링 빈 내부에서 사용하는 빈을 제외하고, 직접 등록한 애플리케이션 빈만 출력
- getRole() : 스프링 빈의 역할을 반환해주는 함수
- ROLE_APPLICATION : 직접 개발자가 등록한 애플리케이션 빈
- ROLE_INFRASTRUCTURE : 스프링 내부에서 사용하는 빈
기본적인 스프링 빈 조회
- ac.getBean(빈이름, 타입)
- ac.getBean(타입)
- 조회 대상 스프링 빈이 없으면 발생하는 예외 : NoSuchBeanDefinitionException: No bean named 'xxxxx' available
동일한 타입이 둘 이상인 빈 조회
- 타입으로 조회시 같은 타입의 스프링 빈이 둘 이상이면 오류가 발생, 이럴때는 빈 이름으로 조회해야됨
- ac.getBeansOfType() 을 사용하면 해당 타입의 모든 빈을 조회할 수 있음(map으로 반환됨 key : 빈 이름, value :빈 객체)
- 타입으로 조회시 같은 타입의 스프링 빈이 둘 이상인 경우 발생하는 예외 : NoUniqueBeanDefinitionException
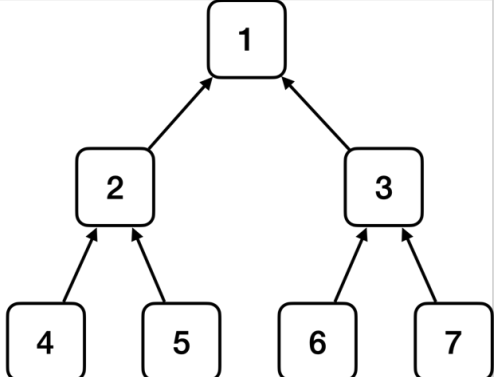
상속 관계가 있는 빈 조회
- 부모 타입으로 조회하면 다형성으로 인해 자손 타입도 함께 조회됨
- 모든 자바 객체의 최고 부모인 Object 타입으로 조회하면, 모든 스프링 빈을 조회함

- Object 타입으로 조회 : 컨테이너에 등록된 모든 빈 조회
- 1번 타입으로 조회 : 1~7까지 모두 조회됨
- 2번 타입으로 조회 : 2,4,5
- 3번 타입으로 조회 : 3,6,7
BeanFactory와 ApplicationContext

- BeanFactory
- 스프링 컨테이너 최상위 인터페이스
- 스프링 빈을 관리, 조회하는 역할 담당
- 위에서 빈을 조회할때 사용하던 기능 대부분을 제공함(getBean() 등등)
- BeanFactory를 직접 사용할 일은 거의 없음,
- ApplicationContext
- BeanFactory의 기능을 전부 상속받아서 제공
- 빈을 관리하고,조회하는 기능말고도 수많은 부가 기능을 제공함
- BeanFactory말고 부가기능일 포함된 ApplicationContext를 대부분 사용함

- MessageSource : 국제화 기능(한국에서 들어오면 한국어, 미국에서 들어오면 영어로 출력)
- EnvironmentCapable : 환경변수와 관련된 기능을 제공,로컬, 개발(테스트 서버), 운영(실제 production)등을 구분해서 처리
- ApplicationEventPublisher : 이벤트 발생하고 구독하는 모델을 편리하게 지원
- ResourceLoader : 편리한 리소스 조회, 파일, 클래스패스, 외부 등에서 리소스를 편리하게 조회
- 그 외에도 다양한 기능을 제공함
스프링 빈 설정 메타 정보 - BeanDefinition
스프링은 설정 형식을 xml.groovy, 자바클래스 등 여러가지를 지원하는데, 이는 BeanDifininition이 추상화 되어 있어서 그런거임
쉽게 이야기해서, 역할과 구현을 개념적으로 나눠져있어서

- AnnotationConfigApplicationContext 는 AnnotatedBeanDefinitionReader 를 사용해서
AppConfig.class 를 읽고 BeanDefinition 을 생성함
- GenericXmlApplicationContext 는 XmlBeanDefinitionReader 를 사용해서 appConfig.xml 설정
정보를 읽고 BeanDefinition 을 생성
- 새로운 형식의 설정 정보가 추가되면, XxxBeanDefinitionReader를 만들어서 BeanDefinition 을
생성하면 됨
- BeanDefinition을 빈 설정 메타정보라고함
-@Bean(자바설정코드) , (xml) 당 각각 하나씩 메타 정보가 생성된다.
- 스프링 컨테이너(ApplicationComtext)는 이 메타정보를 바탕으로 스프링 빈을 생성함
BeanDefinition
- BeanClassName : 생성할 빈의 클래스 명(자바 설정 처럼 팩토리 역할의 빈을 사용하면 없음)
- factoryBeanName: 팩토리 역할의 빈을 사용할 경우 이름, 예) appConfig
- factoryMethodName: 빈을 생성할 팩토리 메서드 지정, 예) memberService
- Scope: 싱글톤(기본값)
` + lazyInit: 스프링 컨테이너를 생성할 때 빈을 생성하는 것이 아니라, 실제 빈을 사용할 때 까지 최대한
생성을 지연처리 하는지 여부
- InitMethodName: 빈을 생성하고, 의존관계를 적용한 뒤에 호출되는 초기화 메서드 명
- DestroyMethodName: 빈의 생명주기가 끝나서 제거하기 직전에 호출되는 메서드 명
- Constructor arguments, Properties: 의존관계 주입에서 사용한다. (자바 설정 처럼 팩토리 역할의
빈을 사용하면 없음) 정리
- BeanDefinition을 직접 생성해서 스프링 컨테이너에 등록할 수 도 있다. 하지만 실무에서
BeanDefinition을 직접 정의하거나 사용할 일은 거의 없음
- BeanDefinition에 대해서는 너무 깊이있게 이해하기 보다는, 스프링이 다양한 형태의 설정 정보를
BeanDefinition으로 추상화해서 사용하는 것 정도만 이해하면 됨