: 기준 원소(pivot)를 선정하여 기준원소보다 작은 원소는 모두 왼쪽 배열로, 기준원소보다는 크거나 같은 원소는 모두 오른쪽 배열로 가도록 분할한다. 이렇게 분할한 배열을 각각 재귀 호출로 정렬하여 합병하는 방식.
문제: n개의 정수를 비내림차순으로 정렬
입력: 정수 n >0, 크기가 n인 배열 S[1..n]
출력: 비내림차순으로 정렬된 배열 S[1..n]
void quicksort(index low, index high) {
index pivotpoint;
if (high > low) {
partition(low, high, pivotpoint);
quicksort(low, pivotpoint - 1);
quicksort(pivotpoint + 1, high);
}
}
문제: 빠른 정렬을 하기 위해서 배열 S를 둘로 쪼갠다.
입력: 첨자 low, high
출력: 첨자 low에서 high까지의 S의 부분배열의 기준점(pivotpoint)
void partition(index low, index high, index& pivotpoint) {
index i, j;
keytype pivotitem;
pivotitem = S[low];
j = low;
for(i = low + 1; i <= high, i++) {
if (S[i] < pivotitem) {
j++;
exchange S[i] and S[j];
}
}
pivotpoint = j;
exchange S[low] and S[pivotpoint]
}
문제: nxn 크기의 행렬 곱을 구하시오.
입력: 양수 n, nxn 크기의 행렬 A와 B
출력: 행렬 A와 행렬 B의 곱인 C
void matrixmult(int n, const number A[][], const number B[][], number C[][]) {
index i, j, k;
for(i = 1; i <= n; i++)
for(j = 1; j <= n; j++) {
C[i][j] = 0;
for (k = 1; k <= n; k++)
C[i][j] = C[i][j] = A[i][k] * B[k][j]
}
}
단위연산: 가장 안쪽의 루프에 있는 곱셈 연산
입력크기: 행과 열의 수 n
모든 경우 시간복갑도 분석: 총 곱셈의 횟수 : T(n) = nnn = n^3 theta(n3)
문제: 두 2 x 2 행렬 A와 B의 곱 C


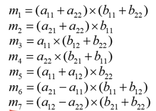
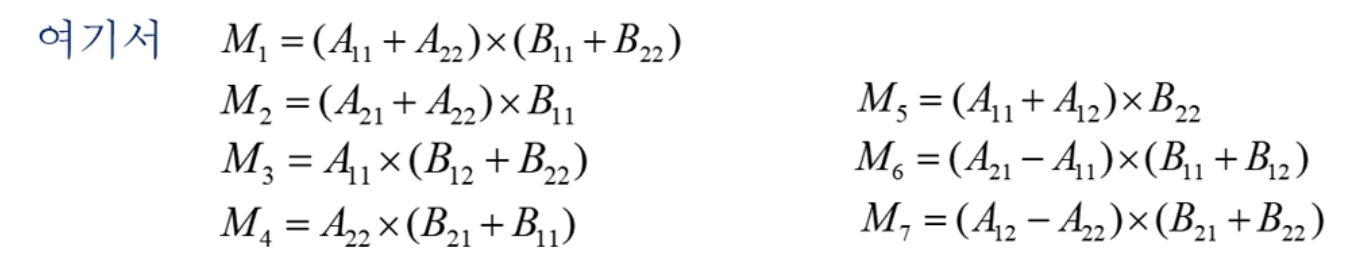
문제: n이 2k이고, 각 행렬을 4개의 부분행렬(submatrix)로 나눈다고 가정하자. 두 nxn 행렬 A와 B의 곱 C
쉬트라쎈의 해


문제: n이 2k일 때, n x n 크기의 두 행렬의 곱을 구하시오.
입력: 정수 n, n x n 크기의 행렬 A와 B
출력 행렬 A와 B의 곱 C
void strassen(int n, n*n_matrix A, n*n matrix B, n*n_matrix& C) {
if (n <= threshold)
표준 알고리즘을 사용하여 계산
else {
A를 4개의 부분행렬로 분할
B를 4개의 부분행렬로 분할
strassen(n/2, A11 + A12, B11 + B22, M1);
...
strasse(n/2, ..., ... , M7);
// M1 ~ M7으로부터 C11, C12, C21, C22를 구성한다.
}
}