DDPM을 이해하는데 도움이 되는 reference link를 정리해두었습니다.
A Gentle Introduction to Diffusion Model: Part 1 - DDPM https://metamath1.github.io/blog/posts/diffusion/ddpm_part1.html?fbclid=IwAR3_AboIfJ-KbHuDhLRGAUuOYRvfG8SkMCyFtt9O7UneWIaMdfePh-jSCJg
DDPM의 수학적 증명, 코드 예제까지 구성되어 있습니다.
엄청 디테일하기에 완독까지 시간이 꽤나 걸리지만 이해하는데 있어 굉장히 좋은 자료입니다.
What are Diffusion Model?
https://lilianweng.github.io/posts/2021-07-11-diffusion-models/

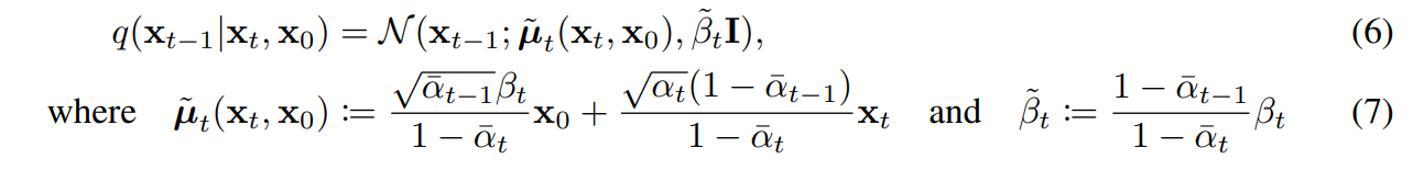
(6) 수식에서 (7)의 µ와 β를 구하는 과정이 잘 설명되어 있습니다.
해당 부분만 발췌독하였으나, 다른 내용도 잘 작성되어 있는 것 같습니다.