인터넷은 웹의 핵심적인 기술. 인터넷의 가장 기본적인 것은 컴퓨터들이 서로 통신 가능한 거대한 네트워크 라는 것.

두 개의 컴퓨터가 통신이 필요할 때, 두 개의 컴퓨터는 물리적(이더넷 케이블) 또는 무선(Wifi, Bluetooth)으로 연결되어야 한다. 현대 컴퓨터들은 이러한 연결 중 하나를 이용해 연결을 지속할 수 있다.

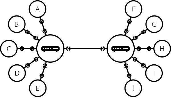
네트워크는 두 개의 컴퓨터로 제한되지 않고 원하는 만큼의 컴퓨터를 연결할 수 있다. 그러나 단순히 컴퓨터끼리 연결하게 되면 위 그림처럼 굉장히 복잡해지게 된다.

네트워크가 복잡해지는 문제를 해결하기 위해 네트워크 안의 컴퓨터들은 라우터라고 하는 특수한 소형 컴퓨터에 연결된다. 이 라우터는 A컴퓨터가 B컴퓨터로 보낸 신호가 C컴퓨터나 D컴퓨터로 가지 않고 B컴퓨터로 갈 수 있도록 하는 작업만 실시한다.

우리는 라우터를 통해 컴퓨터를 연결할 수 있게 됐다. 또한, 많은 수의 컴퓨터가 연결 된 라우터를 연결하여 우리 네트워크는 무한히 확장이 가능하다.

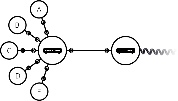
하지만, 물리적으로 거리가 먼 곳까지 케이블을 연결할 수 없다는 문제가 생기는데, 이미 세계 어느 곳과도 연결된 케이블인 전화선에 우리의 네트워크를 연결하게 됩니다.

이 때, 우리 네트워크는 ISP(Internet Service Provider, 인터넷 서비스 제공업체)에 연결하고, 다른 ISP의 라우터에 연결되어 거대한 네트워크 인프라를 구축하게 됩니다.
인터넷은 거대한 인프라이며, 웹은 이 인프라 위에 구축된 서비스이다.
쉽게 설명하면, 국가는 인터넷과 같은 거대한 인프라이며, 대중교통은 국가 위에 구축된 서비스라고 생각하면 된다.