cs231n. Softmax - 1. Naive Loss

boingboing·2023년 12월 30일

Softmax는 이까지.


Cross Entropy Loss

좀더 정확하게 맞출 수록 H(p,q)의 값이 감소하게 됩니다. 즉 위 값, 비용 총합을 최소화하는 것이 위 작업의 목표지요.

순전파

1. score 계산

Y = np.dot(X, W) + B

그냥 곱함

2. Loss 계산

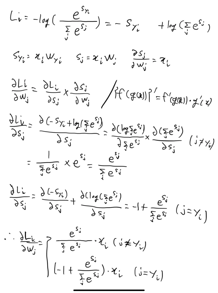
3. W에 대해 역전파 (으앙)

정리하면

0개의 댓글