★ [학습목표]
Cantera 를 이용한 Heat Release Rate을 시뮬레이션 할 수 있다.
바깥쪽 범위에서 이러한 변수를 캡처하여 질량 유량 함수가 시간 이외의 변수에 의존하는 MassFlowController의 사용을 보여줍니다. 또한 고정된 부피의 정압 반응기를 생성하기 위해 PressureController를 사용하는 방법도 보여줍니다.
요구사항: cantera >= 3.0, matplotlib >= 2.0
!pip install cantera
import numpy as np
import matplotlib.pyplot as plt
import cantera as ct # NumPy, Matplotlib, Cantera 라이브러리 import.
# Use reaction mechanism GRI-Mech 3.0. For 0-D simulations,
# no transport model is necessary.
gas = ct.Solution('gri30.yaml') # GRI3.0 Reaction Mechanism load 후 gas 객체를 생성
# Create a Reservoir for the inlet, set to a methane/air mixture at a specified
# equivalence ratio
equiv_ratio = 0.5 # lean combustion
gas.TP = 300.0, ct.one_atm # Temp. 300K, Pressure 1bar
gas.set_equivalence_ratio(equiv_ratio, 'CH4:1.0', 'O2:1.0, N2:3.76')
inlet = ct.Reservoir(gas) # gas 객체로 정의된 유체의 특성을 가진 입구 경계 조건을 나타내는 Reservoir 객체
# Create the combustor, and fill it initially with a mixture consisting of the
# equilibrium products of the inlet mixture. This state corresponds to the state
# the reactor would reach with infinite residence time, and thus provides a good
# initial condition from which to reach a steady-state solution on the reacting
# branch.
gas.equilibrate('HP') # 가스 상태를 열역학 평형 상태로 설정
combustor = ct.IdealGasReactor(gas) # 열역학 평형을 사용하여 'combustor' 이상 기체 반응기 객체를 생성
combustor.volume = 1.0
# Create a reservoir for the exhaust
exhaust = ct.Reservoir(gas) # 배기를 위한 exhaust 객체 생성
# Use a variable mass flow rate to keep the residence time in the reactor
# constant (residence_time = mass / mass_flow_rate). The mass flow rate function
# can access variables defined in the calling scope, including state variables
# of the Reactor object (combustor) itself.
def mdot(t):
return combustor.mass/residence_time #시간에 따라 변하는 질량 유량 mdot 함수 정의
inlet_mfc = ct.MassFlowController(inlet, combustor, mdot=mdot)
# mdot 이용 inlet에서 combustor로의 질량 유량을 제어하는 inlet_mfc를 생성
# A PressureController has a baseline mass flow rate matching the 'primary'
# MassFlowController, with an additional pressure-dependent term. By explicitly
# including the upstream mass flow rate, the pressure is kept constant without
# needing to use a large value for 'K', which can introduce undesired stiffness.
outlet_mfc = ct.PressureController(combustor, exhaust, primary=inlet_mfc, K=0.01)
# outlet_mfc를 생성하여, 'primary' 질량 유량을 기준으로하여 상수 압력을 유지
# the simulation only contains one reactor
sim = ct.ReactorNet([combustor]) # combustor 객체 하나를 포함하는 ReactorNet을 생성
# Run a loop over decreasing residence times, until the reactor is extinguished,
# saving the state after each iteration.
states = ct.SolutionArray(gas, extra=['tres'])
residence_time = 0.1 # starting residence time
while combustor.T > 500:
sim.initial_time = 0.0 # reset the integrator
sim.advance_to_steady_state()
print('tres = {:.2e}; T = {:.1f}'.format(residence_time, combustor.T))
states.append(combustor.thermo.state, tres=residence_time)
residence_time *= 0.9 # decrease the residence time for the next iteration
# combustor의 온도가 500 K보다 큰 동안 반복하여, 시간당 유입 질량을 조정하여
# 스테디 상태로 진행합니다. 스테디 상태에 도달한 후, 현재 상태를 states에 추가
# Plot results
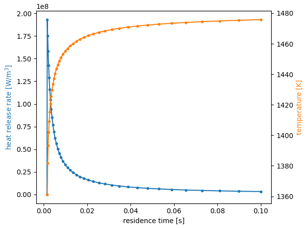
f, ax1 = plt.subplots(1, 1)
ax1.plot(states.tres, states.heat_release_rate, '.-', color='C0')
# states.tres는 residence time, states.heat_release_rate는 열 방출율, states.T는 온도
ax2 = ax1.twinx()
ax2.plot(states.tres[:-1], states.T[:-1], '.-', color='C1')
ax1.set_xlabel('residence time [s]')
ax1.set_ylabel('heat release rate [W/m$^3$]', color='C0')
ax2.set_ylabel('temperature [K]', color='C1')
f.tight_layout()
plt.show()

