[Algorithm] 완전 탐색 (0726)

왕감자·2024년 7월 29일

KB IT's Your Life

목록 보기
103/177

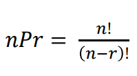
순열

서로 다른 n개 중 r개를 순서를 고려하여 선택(나열)하는 것
ex) 줄 세우기

  • n개의 요소들에 대해서 n!개의 순열이 존재
  • n > 12 인 경우 시간 복잡도 증가 ⇨ 12 이하일때만 순열을 쓰자~!

ex) 숫자가 쓰여있는 회색 공 3개를 순서대로 빨, 파, 노를 칠하는 경우의 수


조합

서로 다른 n개 중 r개를 순서 없이 선택(나열)하는 것


부분집합

집합에 포함된 원소들을 선택

0개의 댓글