[solvesql/SQLite] 펭귄 날개와 몸무게의 상관 계수 (+ SQL 제곱 / 루트)

songeunm·2024년 12월 20일
0

PS - sql

목록 보기
44/58
post-thumbnail

📍 SQL에서 제곱과 루트

sql에서 제곱과 루트는 함수를 통해 계산할 수 있다.

💡 POWER

POWER( column_name, exponent )

column_name 값을 exponent승 제곱한 값을 반환한다.
SQUARE라는 함수가 존재할것만 같아서 매번 없는 함수를 사용하게 된다.

💡 SQRT

SQRT( column_name )

Square Root의 약자로 column_name 값의 제곱근을 반환한다.


문제

✔️ 난이도 4

문제 흐름

날개 길이와 몸무게의 피어슨 상관 계수(Pearson Correlation Coefficient)를 구하는 쿼리를 작성해주세요.
쿼리 결과에는 아래 컬럼이 포함되어 있어야 하고, 상관 계수는 소수점 아래 넷째 자리에서 반올림 해 셋째 자리까지 출력되어야 합니다.

  • species: 펭귄 종
  • corr: 날개 길이와 몸무게의 상관 계수

어려워보이지만 사실 피어슨 상관 계수라는 말 때문이지 계산만 잘 하면 되는 문제다.
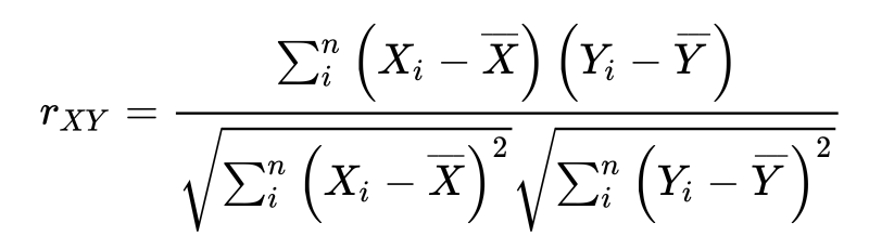
피어슨 상관 계수 공식은 다음과 같다.

관측값과 평균의 차를 계산하기 위해 먼저 avg over를 통해 각 레코드에 평균 avg_fl, avg_bm을 계산해 새로운 컬럼으로 붙여준다.
이를 calc_avg라는 CTE로 생성했다.

그리고 calc_avg로부터 본격적으로 상관계수를 계산한다.
sql에서 시그마는 sum, 제곱은 power, 루트는 sqrt를 통해 계산할 수 있다.
계산식을 전부 써준 뒤 round함수를 통해 소수점 3째자리까지 반올림하여 나타내도록 하고,
컬럼명을 corr으로 지정한다.
계산은 종별로 그룹화하여 진행한다.

코드

WITH
  calc_avg AS (
    SELECT
      species,
      flipper_length_mm,
      avg(flipper_length_mm) OVER (PARTITION BY species) avg_fl,
      body_mass_g,
      avg(body_mass_g) OVER (PARTITION BY species) avg_bm
    FROM penguins
  )

SELECT
  species,
  round(
    sum( (flipper_length_mm - avg_fl) * (body_mass_g - avg_bm))
    / sqrt( sum( power(flipper_length_mm - avg_fl, 2)))
    / sqrt( sum( power(body_mass_g - avg_bm, 2)))
  , 3) corr
FROM calc_avg
GROUP BY species;
profile
데굴데굴 구르는 개발자 지망생

0개의 댓글