
[Leetcode] 19. Remove Nth Node From End of List
링크드 리스트의 끝에서 n번째 노드를 제거하는 문제다.
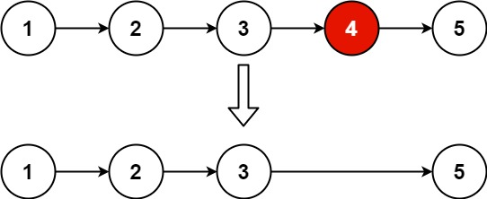
예를들어 [1, 2, 3, 4, 5]가 주어지고 n이 2인 경우, 끝에서 2번째 노드인 4를 제거한 [1, 2, 3, 5]를 반환하면 된다.

투포인터
class Solution:
def removeNthFromEnd(self, head: Optional[ListNode], n: int) -> Optional[ListNode]:
left, right = head, head
for i in range(n):
right = right.next
if not right:
return left.next
while right.next:
left = left.next
right = right.next
left.next = left.next.next
return head
left, head로부터 n칸 뒤 노드를 가리키는 right를 이용해 탐색한다.right이 None인 경우 left값을 제거한다는 뜻이므로 left.next를 반환한다.right가 리스트의 끝에 도달할 때 까지 두 포인터를 이동시킨다.right가 리스트의 끝에 도달했으면 right값이 끝에서 1번째라는 의미이므로 right의 n-1만큼 앞에 있는 노드를 제거한다.right - left = nright - (n-1) = left + 1left.next값이므로 left.next 값을 left.next.next로 업데이트한다.