1. histogram stretching 이란?
픽셀 값의 범위를 늘려 이미지의 대비를 향상시킴
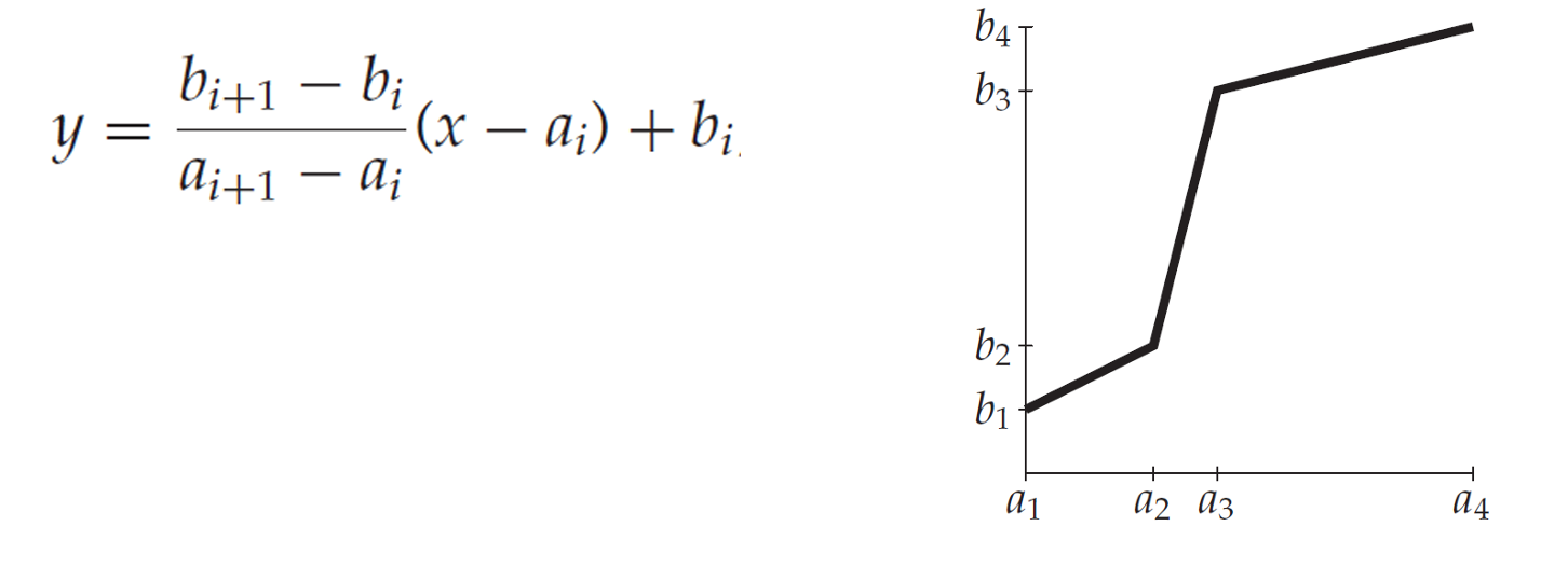
계산방법
- x = 원래 intensity
- y = 결과 intensity
- a(i~i+1) : 입력 image에서 intensity 구간
- b(i~i+1) : 결과 image에서 mapping 구간

- before vs after

2. gamma correction 감마 보정
픽셀의 밝기를 어두운 건 더 어둡거나 밝게, 밝은 건 더 밝거나 어둡게
1) 계산법
계산공식
- x = 원래 intensity
- y = 감마 값
- a,b : 입력 범위
- c,d : 결과 범위

- Before -> After

2) gamma<1 vs gamma>1
- gamma<1: 어두운 픽셀을 밝게!
- gamma>1: 밝은 픽셀을 어둡게!
