요약
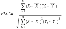
Pearson은 두 변수의 선형성을 측정. 변수들의 관계가 직선에 의해 잘 모델링 된다. 즉, 두 변수가 일정한 비율로 증가하거나 감소. 비율이 일정해야 +-1에 가깝게 나온다.

Spearman: 단조성(monotonicity) 평가. 즉 하나가 커지만 다른 변수도 커질 때, +1.

di: 변수의 값들을 크기순으로 정렬했을 때 i 번째 값들의 차.
켄달도 단조성 평가.

큰 차이는 없는 듯 하나, 소표본이고 동점이 많을 때 켄달이 선호된다고 한다.
(금융에서는 spearman을 사용할 듯 하다.)
셋 중 피어슨은 선형상관관계여야 하며, 스피어만 및 켄달은 상관 관계에 의한 값, 혹은 적어도 순서 관계에 있다는 가정을 갖는다.