boostcamp Day16-17 학습정리

ttobe·2023년 7월 31일

boostcamp

목록 보기
10/15
post-thumbnail

파일 시스템

파일 시스템(file system, 문화어: 파일체계)은 컴퓨터에서 파일이나 자료를 쉽게 발견 및 접근할 수 있도록 보관 또는 조직하는 체제를 가리키는 말이다.

파일 시스템 구조

  • 메타영역: 데이터영역에 기록된 파일의 이름, 위치, 크기, 시간정보, 삭제유무 등 파일의 정보가 저장되는 영역
  • 데이터영역: 파일의 데이터가 저장되는 영역

파일과 디렉터리

  • 디렉터리는 파일 시스템 내부에 있는 것으로, 효율적인 파일 사용을 위해 디스크에 존재하는 파일에 대한 여러 정보를 가지고 있는 특수한 형태의 파일이다.

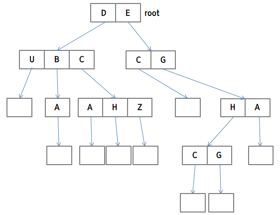
트리 구조 디렉터리
가장 흔한 형태의 디렉터리

HTTP Request와 Response

HyperText Transfer Protocol - html 문서를 교환하기 위해 만들어진 프로토콜, request/response 구조로 되어있다.

Request

HTTP Request Message
startline, headers, body로 이루어져 있다.

Response

Response message

startline

[HTTP Method] [Request target] [HTTP version]
GET /test.html HTTP/1.1

headers

Host: google.com
Accept: text/html
Accept-Encoding: gzip, deflate
Connection: keep-alive
...

body

데이터를 담고 있는 부분.

SQL

SQL은 'Structured Query Language'의 약자로, 구조화 질의어, 관계형 데이터베이스 관리 시스템(RDBMS)의 데이터를 관리하기 위해 설계된 특수 목적의 프로그래밍 언어이다.

데이터베이스


저번주에 비해 좀 쉬워서 구현을 마칠 수 있었다. 오류에 대한 생각을 많이 하고, 테스트도 많이 했다.
이제 하나 남았다....

0개의 댓글