โฐ 2019.05

์ต๊ทผ์ ์ฐ๊ตฌ๋ค์ Convolution NN์ ํ๋ จํ์ฌ ๋งค์ฐ ํ์ค์ ์ธ ์ธ๊ฐ ๋จธ๋ฆฌ ์ด๋ฏธ์ง๋ฅผ ์์ฑํ๋ ๋ฐฉ๋ฒ์ ๋ณด์ด๊ณ ์์. ์ด๋ฌํ ๊ฐ์ธํ๋ talking head model์ ๋ง๋ค๊ธฐ ์ํด์๋ ์ผ๋ฐ์ ์ผ๋ก ํ ์ธ๋ฌผ์ ๋ง์ ์ด๋ฏธ์ง ๋ฐ์ดํฐ๋ฅผ ํ์๋ก ํจ. ๊ทธ๋ฌ๋ ์ค์ฉ์ ์ธ ์ํฉ์์๋ ๋จ ํ ์ฅ์ ์ด๋ฏธ์ง๋ก๋ ๊ฐ์ธํ๋ talking head model์ ํ์ตํด์ผํ๋ ๊ฒฝ์ฐ๊ฐ ์์.
๋ณธ ๋ ผ๋ฌธ์ ์์คํ ์ ๋๊ท๋ชจ ๋น๋์ค ๋ฐ์ดํฐ์ ์ ํตํ์ฌ ๋ฉํ ํ์ต์ ์ํํ ํ, ์ด์ ์ ํ์ตํ์ง ์์๋ ์ฌ๋๋ค์ ์์ฃผ ์ ์ ์์ ์ด๋ฏธ์ง ๋ฐ์ดํฐ๋ก๋ถํฐ talking head model์ ์ถ๋ ฅํ ์ ์์. ๐ก Generator์ Discriminator (Adversarial ๊ตฌ์กฐ)๋ฅผ ์ฌ์ฉํ์ฌ, G ์ D๋ฅผ ํน์ ์ด๋ใน์ ๋ง๊ฒ ์ด๊ธฐํํ์ฌ ์๋ฐฑ๋ง ๊ฐ์ ํ๋ผ๋ฏธํฐ๋ฅผ ํ๋ํด์ผํ๋ ์ํฉ์์๋ ๋ช ์ฅ์ ์ด๋ฏธ์ง๋ก ๋น ๋ฅด๊ฒ ํ์ต์ด ๊ฐ๋ฅํจ.
๋ณธ ์ฐ๊ตฌ์์๋ ํน์ ๊ฐ์ธ์ ํ์ ๊ณผ ๋งํ๋ ๋ชจ์ต์ ํฉ์ฑํ ์ ์๋ 'talking head model => THM'์ ๋ง๋๋ ๊ณผ์ ๋ฅผ ๋ค๋ฃธ. ํนํ ์ผ๊ตด์ ๋๋๋งํฌ๋ฅผ ๊ธฐ๋ฐ์ผ๋ก ์ฌ์ค์ ์ธ ๊ฐ์ธํ๋ THM ์ด๋ฏธ์ง๋ฅผ ํฉ์ฑํ๋ ๋ฌธ์ ๋ฅผ ํด๊ฒฐํจ.
โก๏ธ ๋ณธ ๊ธฐ์ ์ ํ์ํ์, ๋ฉํฐํ๋ ์ด์ด ๊ฒ์, ํน์ ํจ๊ณผ ์ฐ์ ๋ฑ์์ ์ค์ฉ์ ์ธ ์์ฉ์ด ๊ฐ๋ฅํ ๊ฒ์ผ๋ก ๋ณด์.
์ฌ์ค์ ์ธ THM ์ํ์ค๋ฅผ ํฉ์ฑํ๋ ๊ฒ์ ๋ ๊ฐ์ง ์ด๋ ค์์ด ์์.
๐จ 1. ์ธ๊ฐ์ ๋จธ๋ฆฌ๋ ํฌํ ๋ฉํธ๋ฆญ/๊ธฐํํ์ /์ด๋ํ์ ๋ณต์ก๋๊ฐ ๋์; ์ผ๊ตด๋ฟ๋ง ์๋๋ผ ์ ์, ๋จธ๋ฆฌ์นด๋ฝ, ์ท ๋ฑ๋ ๋ชจ๋ธ๋งํด์ผํ๊ธฐ ๋๋ฌธ์.
๐จ 2. ์ธ๊ฐ์ ์๊ฐ ์์คํ ์ ์์ ์ค์์๋ ๋ฏผ๊ฐํ์ฌ, THM์์์ ์์ ์ค๋ฅ๋ ์ฝ๊ฒ ๊ฐ์งํด๋ฒ๋ฆผ. (๋ถ์พํ ๊ณจ์ง๊ธฐ ํจ๊ณผ)
๐ Uncanny Valley Effect(๋ถ์พํ ๊ณจ์ง๊ธฐ ํจ๊ณผ): ์ธ๊ฐ๊ณผ ๋งค์ฐ ํก์ฌํ์ง๋ง ์ด๋๊ฐ ์๋ฒฝํ์ง๋ ๋ชปํ ๋ก๋ด, ์ ๋๋ฉ์ด์ ์บ๋ฆญํฐ๋ฅผ ๋ณผ ๋ ์ฌ๋๋ค์ด ๋๋ผ๋ ๋ถ์พ๊ฐ, ์ด์ง๊ฐ.
๐ฟ ํด๋น ๋ฌธ์ ๋ฅผ ํด๊ฒฐํ๊ธฐ ์ํด ์ฌ๋ฌ ์ฐ๊ตฌ๋ค์ ๋จ์ผ, ๋ค์์ ์ ์ ํ๋ ์์ ๋ณํํ์ฌ ๋จธ๋ฆฌ ์ํ์ค๋ฅผ ํฉ์ฑํ๋ ๋ฐฉ์์ ์ ์ํจ.
โ ๏ธ ๊ทธ๋ฌ๋ ์ด ๋ฐฉ์์ ์์ง์, ํ์ , ๊ฐ๋ ค์ง ๋ฑ์ ์ฒ๋ฆฌํ๋๋ฐ ์์ด์ ํ๊ณ๊ฐ ์์.
๐ฟ ์ต๊ทผ์๋ Adversarial ํ์ต์ ์ฌ์ฉ
โ ๏ธ ์๋ฐฑ๋ง ๊ฐ์ ๋งค๊ฐ๋ณ์์ ๋๊ท๋ชจ ์ฌ์ง ๋ฐ์ดํฐ์
ํ์
๐ก ๋ณธ ์ฐ๊ตฌ์์๋ ๋ช ์ฅ์ ์ฌ์ง(Few-shot)๊ณผ ์ ํ๋ ํ๋ จ ์๊ฐ์ THM์ ๋ง๋๋ ์์คํ
์ ๊ณ ์ํจ.
โก๏ธ ๋จ์ผ ์ฌ์ง๋ง์ผ๋ก๋ ํฉ๋ฆฌ์ ์ธ ๊ฒฐ๊ณผ๋ฅผ ์์ฑ์ด ๊ฐ๋ฅํจ.
๐ Adversarial ํ๋ จ๊ณผ ์กฐ๊ฑด๋ถ ํ๋ณ์ ๋ฑ์ ์์ด๋์ด๋ฅผ ํ์ฉํ์ฌ ๋ฉํ ํ์ต ๋จ๊ณ์์ ์ ์ํ ์ธ์คํด์ค ์ ๊ทํ ๋ฉ์ปค๋์ฆ์ ์ฌ์ฉํจ.
โก๏ธ ์ด์ ๋น์ทํ๊ฒ, Adversarial fine-tuning์ ๋ฉํ-ํ์ต ํ๋ ์์ํฌ๋ก๋ถํฐ ์ด๊ธฐ ์ํ๋ฅผ ์ป์ ํ์ ์ ์ฉํจ.
๐ ๋ฉํ ํ์ต: ํ์ต ์๊ณ ๋ฆฌ์ฆ ์์ฒด๋ฅผ ํ์ตํ๋ ๊ฒ.
โ๏ธ ๋ฉํ-ํ์ต ๋จ๊ณ์์๋ ์๋ก ๋ค๋ฅธ ์ฌ๋๋ค์ THM์ ํฌํจํ๋ M๊ฐ์ ๋น๋์ค ์ํ์ค๊ฐ ์๋ค๊ณ ๊ฐ์ ํจ. xi๋ i๋ฒ์งธ ๋น๋์ค ์ํ์ค์ด๋ฉฐ, xi(t)๋ t๋ฒ์งธ ํ๋ ์์ ๋ํ๋.

+) ํ์ต/ํ ์คํธ ๋์ ๋ชจ๋ ํ๋ ์์ ๋ํ ์ผ๊ตด ๋๋๋งํฌ์ ์์น๋ฅผ ์ฌ์ฉํ ์ ์๋ค๊ณ ๊ฐ์ ํจ.
โก๏ธ ์ด๋ฅผ ์ป๊ธฐ ์ํด ์ฌ์ ์ ์ ์๋ ์ผ๊ตด ์ ๋ ฌ ์ฝ๋๋ฅผ ํ์ฉํ์ฌ ์ผ๊ตด์ ์ธ ์ฑ๋ ์ด๋ฏธ์ง๋ก ๋ํ๋. yi(t)๋ xi(t)์ ๋ํ ๊ฒฐ๊ณผ ๋๋๋งํฌ์.
1๏ธโฃ ์๋ฒ ๋ E(xi(s), yi(s); ฯ): ๋น๋์ค ํ๋ ์ xi(s)์ ๊ด๋ จ๋ ๋๋๋งํฌ ์ด๋ฏธ์ง yi(s)๋ฅผ ์ทจํ๊ณ , ์ด๋ฌํ ์ ๋ ฅ์ N-์ฐจ์ ๋ฒกํฐ eหi(s)๋ก ๋งคํ
2๏ธโฃ ์์ฑ๊ธฐ G(yi(t), eหi; ฯ, P): ์๋ฒ ๋๊ฐ ๋ณผ ์ ์๋ ๋น๋์ค ํ๋ ์์ ๋ํ ๋๋๋งํฌ ์ด๋ฏธ์ง yi(t)์ ์์ธก๋ ๋น๋์ค ์๋ฒ ๋ฉ eหi๋ฅผ ์ทจํ๊ณ , ํฉ์ฑ๋ ๋น๋์ค ํ๋ ์ xหi(t)์ ์ถ๋ ฅ
3๏ธโฃ ํ๋ณ๊ธฐ D(xi(t), yi(t), i; ฮธ,W, w0, b): ํ๋ณ๊ธฐ๋ ์ ๋ ฅ ํ๋ ์ xi(t)์ด i๋ฒ์งธ ๋น๋์ค ์ํ์ค์ ์ค์ ์ ๋ ฅ ํฌ์ฆ yi(t)์ ์ผ์นํ๋์ง ์ฌ๋ถ๋ฅผ ๋ํ๋ด๋ ๋จ์ผ ์ค์นผ๋ผ(์ค์ ์ ์) r์ ์์ธก
โ ์ฐ๊ตฌ์ ์ ๊ทผ ๋ฐฉ์: ๋ฉํ-ํ์ต ๋จ๊ณ์์๋ ๋ชจ๋ ์ธ ๊ฐ์ ๋คํธ์ํฌ์ ๋งค๊ฐ๋ณ์๊ฐ Adversarial ๋ฐฉ์์ผ๋ก ํ์ต(K = 8๋ก ์ค์ ) ์ํผ์๋๋ฅผ ์๋ฎฌ๋ ์ด์ ํจ์ผ๋ก์จ ์ด๋ฃจ์ด์ง.
โก๏ธ ๊ฐ ์ํผ์๋์์๋ ํ๋ จ ๋น๋์ค ์ํ์ค i์ ํด๋น ์ํ์ค์์ ๋จ์ผ ํ๋ ์ t๋ฅผ ๋ฌด์์๋ก ์ ํํจ. t ์ธ์๋ ๋์ผํ ์ํ์ค์์ ์ถ๊ฐ์ ์ธ K๊ฐ์ ํ๋ ์ s1, s2, ... , sK๋ฅผ ๋ฌด์์๋ก ์ ํํจ.
๐ ์ด๋ฌํ ์ถ๊ฐ ํ๋ ์๋ค์ ๋ํด ์์ธก๋ ์๋ฒ ๋ฉ eหi(sk)๋ฅผ ๋จ์ ํ๊ท ํ์ฌ i๋ฒ์งธ ๋น๋์ค ์๋ฒ ๋ฉ์ ์ถ์ ์น eหi๋ฅผ ๊ณ์ฐ
๐์ถ์ ์๋ฒ ๋ฉ eหi๋ฅผ ๊ธฐ๋ฐ์ผ๋ก t๋ฒ์งธ ํ๋ ์์ ์ฌ๊ตฌ์ฑ xหi(t)์ ๊ณ์ฐ
๐ ์๋ฒ ๋์ ์์ฑ๊ธฐ์ ๋งค๊ฐ๋ณ์๋ ๋ชฉ์ ํจ์๋ฅผ ์ต์ํํ๊ธฐ ์ํด ์ต์ ํ
โก๏ธ ๋ชฉ์ ํจ์๋ ์ฝํ
์ธ ํญ๋ชฉ, ์ ๋์ ํญ๋ชฉ ๋ฐ ์๋ฒ ๋ฉ ์ผ์น ํญ๋ชฉ์ผ๋ก ๊ตฌ์ฑ
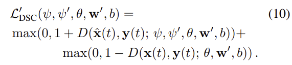
+) ์ฌ๊ธฐ์ ์ฝํ ์ธ ์์ค ํญ๋ชฉ LCNT๋ ํผ์ ์ธ ์ ์ฌ๋ ์ธก์ ๋ฐฉ๋ฒ์ ์ฌ์ฉํ์ฌ ์ค์ ์ด๋ฏธ์ง xi(t)์ ์ฌ๊ตฌ์ฑ xหi(t) ์ฌ์ด์ ๊ฑฐ๋ฆฌ๋ฅผ ์ธก์ ํจ.
๐ ์๋์ ๋ชฉ์ ํจ์๋ ๊ฐ์ง ์์ xหi(t)์ ์ค์ ์์ xi(t)์ ์ค์ ์ฑ์ ๋น๊ตํ ํ, ํ๋ณ๊ธฐ์ ๋งค๊ฐ๋ณ์๋ฅผ ์ ๋ฐ์ดํธํ์ฌ ๊ฐ์ง ์์ ์ ์ ์๋ฅผ -1 ์ดํ๋ก, ์ค์ ์์ ์ ์ ์๋ฅผ +1 ์ด์์ผ๋ก ๋ฐ์ด๋.
โก๏ธ ํ๋ จ์ ์๋ฒ ๋์ ์์ฑ๊ธฐ๋ฅผ ๊ต๋๋ก ์ ๋ฐ์ดํธํ๋ฉฐ, ์ด ๊ณผ์ ์์ LCNT, LADV ๋ฐ LMCH ์์ค์ ์ต์ํํ๊ณ ํ๋ณ๊ธฐ์ ์์ค์ธ LDSC๋ฅผ ์ต์ํํ๋๋ก ํจ.

โก๏ธ ์ผ์ ์ ๋ฐฐ์ ๋ GAN๊ณผ ๋น์ทํ ๊ตฌ์กฐ๋ก Discriminator์์ x^i์ ๋ํ ํ๋ณ์ maximizeํ๋ ๋ฐฉํฅ์ผ๋ก ํ์ต์ ์งํํจ.
๋ฉํ ํ์ต์ด ์๋ ดํ ํ, ํฉ์ฑ์ ๋๋๋งํฌ ์ด๋ฏธ์ง์ ์กฐ๊ฑด๋ถ๋ก ์ด๋ฃจ์ด์ง.
โก๏ธ ์ด ์์คํ ์ ๋ช ์ฅ์ ํ๋ จ ์ด๋ฏธ์ง (์: ๋์ผํ ๋น๋์ค์ T ํ๋ ์)์ ํด๋น ๋๋๋งํฌ ์ด๋ฏธ์ง๊ฐ ์ฃผ์ด์ก์ ๋ ํ์ต๋จ.
โ ๏ธ ์ด ๋ฐฉ๋ฒ์ผ๋ก ์์ฑ๋ ์ด๋ฏธ์ง๋ ๊ทธ๋ด๋ฏํ๊ณ ํ์ค์ ์ด์ง๋ง, ๋์ ๊ฐ์ธํ ์ ๋๋ฅผ ๋ชฉํ๊น์ง๋ ๋ฏธ์น์ง ๋ชปํจ.

๐ก ์ด ์ฐจ์ด๋ ๋ฏธ์ธ ์กฐ์ (fine-tuning) ๋จ๊ณ๋ฅผ ํตํด ๋ณด์!
โ ์์ฑ๊ธฐ G(y(t), eหNEW; ฯ, P) โก๏ธ G0(y(t); ฯ, ฯ0)๋ก ๋์ฒด
+) ๋ฉํ ํ์ต ๋จ๊ณ์์ ์ถ์ ๋ ์๋ฒ ๋ฉ eหNEW์ ํ๋ก์ ์ ๋งคํธ๋ฆญ์ค P๋ฅผ ์ฌ์ฉํ์ฌ ฯ0๋ฅผ ์ด๊ธฐํ
โ ํ๋ณ๊ธฐ D0(x(t), y(t); ฮธ, w0, b)๋ ์ด์ ๊ณผ ๊ฐ์ด ์ค์ ์ฑ ์ ์๋ฅผ ๊ณ์ฐ
ConvNet ๋ถ๋ถ V(x(t), y(t); ฮธ)์ ํ๋ผ๋ฏธํฐ ฮธ์ ๋ฐ์ด์ด์ค b๋ ๋ฉํ ํ์ต ๋จ๊ณ์ ๊ฒฐ๊ณผ๋ก ์ด๊ธฐํ
๋ฏธ์ธ ์กฐ์ ๋จ๊ณ์์๋ ํ๋ณ๊ธฐ์ ํ์ค์ฑ ์ ์๊ฐ ๋ฉํ ํ์ต ๋จ๊ณ์ ์ ์ฌํ๊ฒ ์ป์ด์ง.


โ๏ธ ๋ชจ๋ธ์ ์ฑ๋ฅ์ ํ๊ฐํ๊ธฐ ์ํด ๋ฉํ ํ์ต ๋จ๊ณ์์ ๋ณด์ง ๋ชปํ๋ ์ธ๋ฌผ์ ๋ํด์ ํ๊ฐ๋ฅผ ์ํํจ.
+) ์ฌ์ฉํ ์งํ: FID, SSIM, CSIM
์์ ํ์์ ๋ํ๋ ๊ฒ์ฒ๋ผ X2Face, Pix2pixHD์ ๋น๊ตํ์์ ๋ ์ ์ฌ์ฑ ์งํ์์ ๊ธฐ์ค ๋ชจ๋ธ๋ค์ด ๋ฅ๊ฐ๋ฅผ ํ๋, ํฐ ์ ์ ๋ถ์ผ์น์ฑ์ ๋ณด์์. โก๏ธ ๋ถ์พํ ๊ณจ์ง๊ธฐ ์ํฐํฉํธ ์์ฑํ๋ค๋ ์๋ฏธ
๐์๋๋ ์ ๊ธฐํ๋ ๋ค์ํ ๋ชจ๋ธ์ ๊ฒฐ๊ณผ๊ฐ๋ค!


๋ณธ ์ฐ๊ตฌ๋ ์๋ก์ด ๋ชจ๋ธ์ ๋ง๋ค๊ธฐ ์ํด 32์ฅ์ ์ด๋ฏธ์ง๋ก ํ๋ จ๋ ๋ชจ๋ธ์ ์๋ฒฝํ ํ์ค์ฑ๊ณผ ๊ฐ์ธํ ์ ์๋ฅผ ๋ฌ์ฑํ์์. ์ฃผ์ ํ๊ณ๋ ํ์ ํํ๊ณผ ๋๋๋งํฌ ์ ์ ๋ถ์กฑ์ธ๋ฐ, ๋๋๋งํฌ๋ ์์ ์ ํํํ์ง ๋ชปํจ. ์์ ์ ํฌํจํ๋ ค๊ณ ํ๋ฉด ๋์ ๋๋ ๋ถ์ผ์น๊ฐ ๋ฐ์ํจ.
๐ ์ฌ๋ฌ ์์ฉ ํ๋ก๊ทธ๋จ์ ํตํ์ฌ ์ฌ๋์ ํํ๋ฅผ ์กฐ์ํ ํ์๊ฐ ์๋ ๋ฐฉ์์ ์ ์ํ์๋ค๋ ์ ์์ ์ ๊ทผ ๋ฐฉ์์ด ๋์ ํ์ค์ ํด๊ฒฐ์ฑ ์ด ๋ ์ ์์ ๊ฒ์.
๐ต ๋๋๋งํฌ๊ฐ์์ ์ ํํํ์ง ๋ชปํ๋ค๋ ํ๊ณ๊ฐ ์๋ค๊ณ ํ๋๋ฐ, ์ฒซ ๋ฒ์งธ ์ฌ์ง์ ๋ณด๋ฉด ๋๋๋งํฌ์ ๋๋์๊ฐ ์์. ์์ ์ ํฌํจํ์ ๋ ๋ถ์ผ์น๊ฐ ๋ฐ์ํ๋ค๊ณ ํ๋๋ฐ, ๋๋์๋ฅผ ๊ทธ๋ฆฌ์ง ์์ ์ด์ ๊ฐ ์ด๋ฌํ ๊ฒ์ธ์ง ๊ถ๊ธํด์ง.