woirmer.log
로그인
woirmer.log
로그인
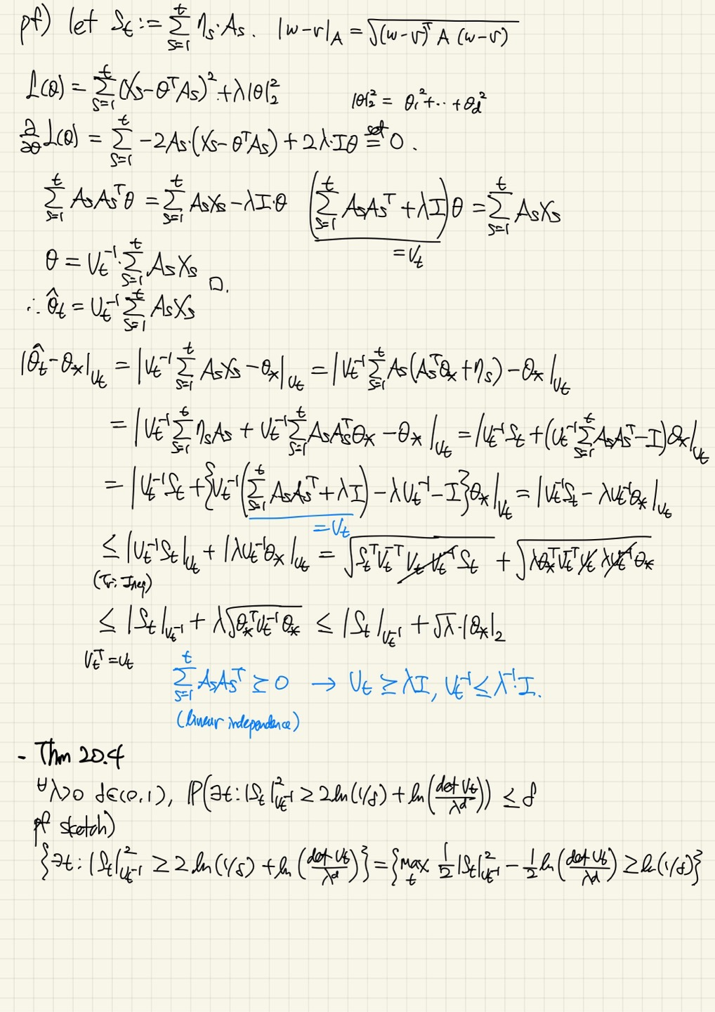
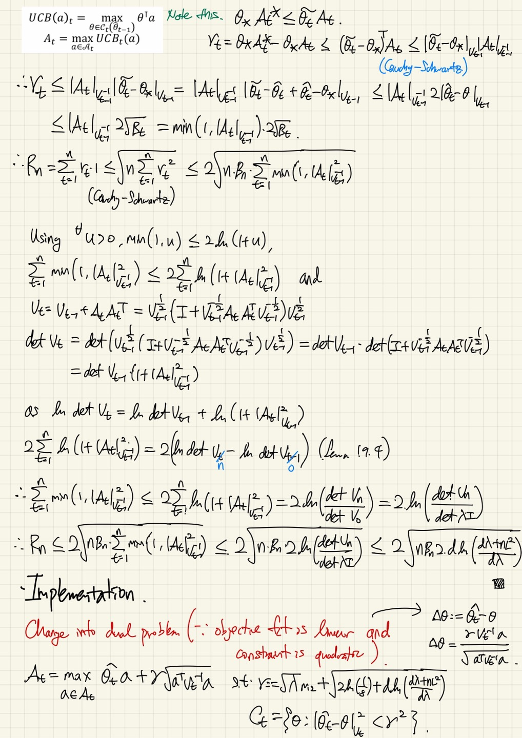
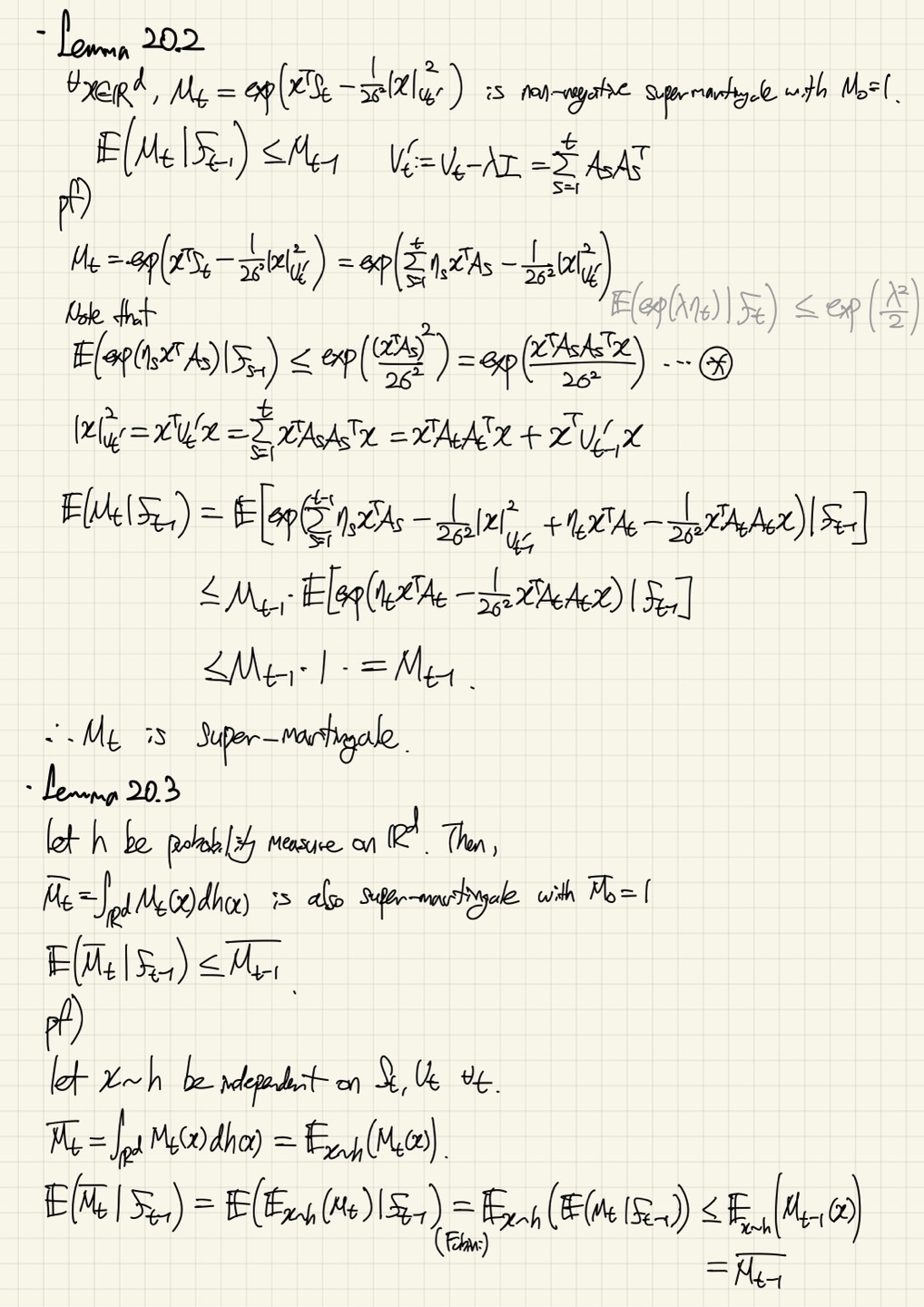
Contextual Bandit - LinUCB
willkommen!
·
2024년 12월 7일
팔로우
0
LinUCB
UCB
bandit
contextual bandit
willkommen!
통계/DS/AI 기록일지
팔로우
이전 포스트
UCB
0개의 댓글
댓글 작성