[Algorithm] DFS/BFS

Yejin·2021년 10월 5일
0

Algorithm

목록 보기
1/3
post-thumbnail

✔️ DFS

DFS 란?

DFS는 Depth-First Search, 깊이 우선 탐색이라고도 부르며, 그래프에서 깊은 부분을 우선적으로 탐색하는 알고리즘이다. 즉, 특정한 경로로 탐색하다가 특정한 상황에서 최대한 깊숙이 들어가 노드를 방문한 후, 다시 돌아가 다른 경로로 탐색하는 알고리즘이다.

DFS의 동작 과정

🔥 DFS스택 자료구조를 이용한다.

  • 탐색 시작 노드를 스택에 삽입하고 방문 처리를 한다.
  • 현재 스택의 가장 최상단에 있는 노드에 인접해 있는 노드 중 방문하지 않은 노드가 있는지 확인한다.
    • 방문하지 않은 인접 노드가 있으면 스택에 넣고 방문 처리를 한다.
      • 방문하지 않은 인접 노드가 여러 개 있으면 번호가 낮은 순서부터 처리한다.
    • 방문하지 않은 인접 노드가 없으면 스택에서 현재 가장 최상단에 있는 노드를 꺼낸다.
  • 위의 과정을 더 이상 수행할 수 없을 때까지 반복한다. (재귀)

DFS 구현

# DFS 메서드 정의
def dfs(graph, v, visited):
   # 현재 노드를 방문 처리
   visited[v] = True
   print(v, end=' ')
   # 현재 노드와 연결된 다른 노드를 재귀적으로 방문
   for i in graph[v]:
      if not visited[i]:
         dfs(graph, i, visited)
         
# 각 노드가 연결된 정보를 리스트 자료형으로 표현(2차원 리스트)
graph = [
   [],
   [2, 3, 8],
   [1, 7],
   [1, 4, 5],
   [3, 5],
   [3, 4],
   [7],
   [2, 6, 8],
   [1, 7]
]
         
# 각 노드가 방문된 정보를 리스트 자료형으로 표현(1차원 리스트)
visited = [False] * 9

# 정의된 DFS 함수 호출
dfs(graph, 1, visited)

✔️ BFS

BFS 란?

BFS는 Breadth-First Search, 너비 우선 탐색이라는 의미를 가지며, 쉽게 말해 가까운 노드부터 탐색하는 알고리즘이다. 최대한 멀리 있는 노드를 우선으로 탐색하는 방식으로 동작하는 DFS의 반대라고 볼 수 있다.

BFS의 동작 과정

🔥 BFS는 선입선출 방식인 큐 자료구조를 이용한다.

: 인접한 노드를 반복적으로 큐에 넣도록 알고리즘을 작성하면 자연스럽게 먼저 들어온 것이 먼저 나가게 되어, 가까운 노드부터 탐색을 진행하게 된다.

  • 탐색 시작 노드를 큐에 삽입하고 방문 처리를 한다.
  • 큐에서 제일 아래에 있는 노드를 꺼내고
    • 해당 노드의 인접 노드 중에서 방문하지 않은 노드를 모두 꺼내 큐에 삽입하고 방문 처리를 한다.
  • 위의 과정을 더 이상 수행할 수 없을 때까지 반복한다.

BFS 구현

🔥 일반적으로 DFS보다는 BFS 구현이 조금 더 빠르게 동작한다.

BFS 알고리즘은 탐색을 수행함에 있어 O(N)의 시간이 소요된다.

from collections import deque

# BFS 메서드 정의
def bfs(graph, start, visited):
   # 큐(Queue) 구현을 위해 deque 라이브러리 사용
   queue = deque([start])
   # 현재 노드를 방문 처리
   visited[start] = True
   # 큐가 빌 때까지 반복
   while queue:
      # 큐에서 하나의 원소를 뽑아 출력
      v = queue.popleft()
      print(v, end = ' ')
      # 해당 원소와 연결된, 아직 방문하지 않은 원소들을 큐에 삽입
      for i in graph[v]:
         if not visited[i]:
            queue.append(i)
            visited[i] = True
            
# 각 노드가 연결된 정보를 리스트 자료형으로 표현(2차원 리스트)
graph = [
   [],
   [2, 3, 8],
   [1, 7],
   [1, 4, 5],
   [3, 5],
   [3, 4],
   [7],
   [2, 6, 8],
   [1, 7]
]

# 각 노드가 방문된 정보를 리스트 자료형으로 표현(1차원 리스트)
visited = [False] * 9

# 정의된 BFS 함수 호출
bfs(graph, 1, visited)

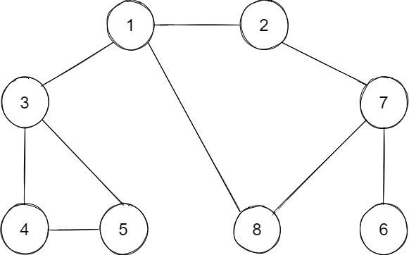
✔️ BFS/DFS 실제 동작 예시

💡 DFS

  • 시작노드 '1' 스택 삽입 : [1] - 1 방문
    • 최상단 노드 : 1
  • 방문하지 않은 인접 노드 '2', '3', '8' 중 가장 작은 노드인 '2' 스택 삽입
    : [1, 2] - 2 방문
    • 최상단 노드 : 2
  • [1, 2, 7] - 7 방문
  • [1, 2, 7, 6] - 6 방문
  • 스택의 최상단 노드 '6'에 방문하지 않은 인접 노드가 없으므로 스택에서 '6'번 노드를 꺼낸다 : [1, 2, 7]
  • [1, 2, 7, 8] - 8 방문
  • 스택의 최상단 노드 '8' 꺼냄 : [1, 2, 7]
  • 스택의 최상단 노드 '7' 꺼냄 : [1, 2]
  • 스택의 최상단 노드 '2' 꺼냄 : [1]
  • [1, 3] - 3 방문
  • [1, 3, 4] - 4 방문
  • [1, 3, 4, 5] - 5 방문
  • 남아 있는 노드에 방문하지 않은 인접 노드 없으므로 스택에서 모든 노드를 차례 대로 꺼낸다

    노드의 탐색 순서(스택에 들어간 순서)
    : 1 - 2 - 7 - 6 - 8 - 3 - 4 - 5

💡 BFS

  • 시작노드 '1' 큐 삽입 : [1] - 1 방문
  • 큐에서 노드 '1' 꺼내고, 방문하지 않은 인접 노드 '2', '3', '8'을 모두 큐에 삽입 : [2, 3, 8] - 2, 3, 8 방문
  • 큐에서 노드 '2' 꺼내고, 방문하지 않은 인접 노드 '7' 큐에 삽입
    : [3, 8, 7] - 7 방문
  • [8, 7, 4, 5] - 3 꺼내고 + 4, 5 방문
  • [7, 4, 5] : 큐에서 노드 '8' 꺼내고 방문하지 않은 인접 노드가 없으므로 무시한다.
  • [4, 5, 6] - 7 꺼내고 + 6 방문
  • 남아 있는 노드에 방문하지 않은 인접 노드가 없다. 따라서 모든 노드를 차례대로 꺼낸다.

    노드의 탐색 순서(큐에 들어간 순서)
    : 1 - 2 - 3 - 8 - 7 - 4 - 5 - 6

✔️ 정리

DFSBFS
동작 원리스택 (Stack)큐(Queue)
구현 방법재귀 함수 이용큐 자료구조 이용

코딩테스트에서 N*M 문제2차원 배열에서의 탐색 문제를 만났을 때 그래프 형태로 바꿔서 생각하면 훨씬 쉽게 풀 수 있음!

👉 DFS/BFS 문제 유형


📌 DFS/BFS를 이해하기 위한 기본 개념

  • 스택 (stack)
    • FILO(First In Last Out) or LIFO 의 자료구조
    • 파이썬에서는 리스트로 구현 가능 (append, pop)
  • 큐 (queue)
    • FIFO(First In First Out) 의 자료구조
from collections import deque
# 큐(Queue) 구현을 위해 deque 라이브러리 사용
queue = deque() # append, popleft
  • 재귀 함수
    : 스택을 활용해야 하는 상당수 알고리즘은 재귀함수를 이용해서 간편하게 구현 가능
# 반복적으로 구현한 n!
def factorial_iterative(n):
   result = 1
   # 1부터 n까지의 수를 차례대로 곱하기
   for i in range(1, n+1):
      result *= i
   return result
# 재귀적으로 구현한 n!
def factorial_recursive(n):
   if n <= 1:	# n이 1 이하인 경우 1을 반환
      return 1
   return n * factorial_recursive(n-1)

📌 그래프 표현 in programming (DFS/BFS)

  • 인접 행렬 (Adjacency Matrix)
    • 2차원 배열에 각 노드가 연결된 형태를 표현하는 방식
    • 연결 되어 있지 않은 노드끼리는 무한의 비용으로 작성 (ex.) 999999999)
    • 파이썬에서는 2차원 리스트로 구현
INF = 999999999
# 2차원 리스트를 이용해 인접 행렬 표현
graph = [
   [0, 3, 1],
   [3, 0, INF],
   [1, INF, 0]
]
  • 인접 리스트 (Adjacency List)
    • 리스트로 노드에 연결된 노드에 대한 정보를 차례대로 연결하여 저장
    • 파이썬에서는 똑같이 2차원 리스트를 이용하고 append()와 메소드 사용
# 행(Row)이 3개인 2차원 리스트로 인접 리스트 표현
graph = [[] for _ in range(3)]
# 노드 0에 연결된 노드 정보 저장(노드, 거리)
graph[0].append((1, 3))
graph[0].append((2, 1))
# 노드 1에 연결된 노드 정보 저장(노드, 거리)
graph[1].append((0, 3))
# 노드 2에 연결된 노드 정보 저장(노드, 거리)
graph[2].append((0, 1))

👉 참고
나동빈, 이것이 취업을 위한 코딩 테스트다 with 파이썬
[자료구조] 그래프의 개념과 구현

profile
꾸준히, 최선을 다하자.

0개의 댓글