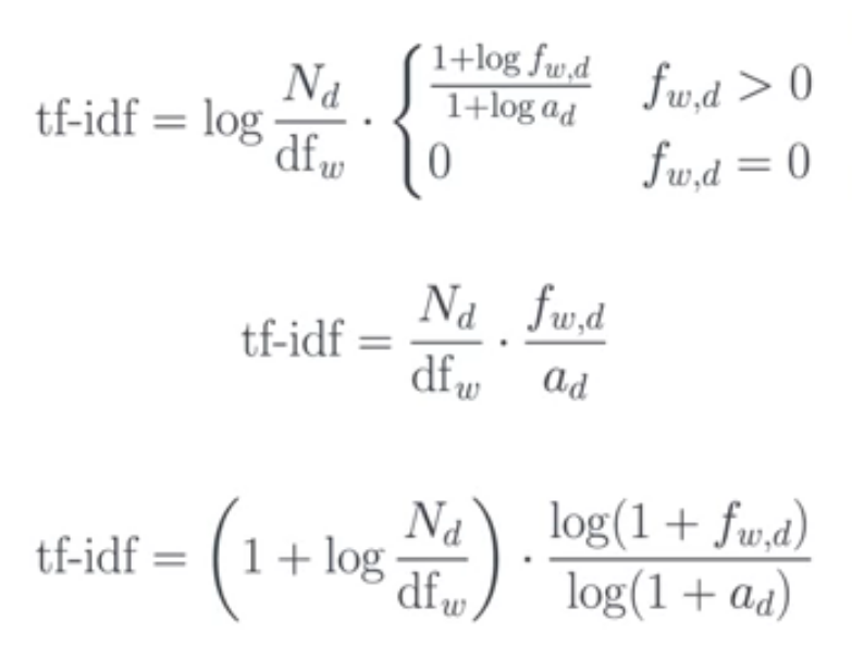
"Jenna went back to University. "jenna went back to university. ['jenna', 'went', 'back', 'to', 'university'] ['jenna', 'went', 'university'] ['jenna', 'go', 'univers'] len(matching_words)/len(corpus) 비교로 텍스트의 긍정적/부정적 감정 파악 TF-IDF는 휴리스틱이므로, 다양한 형태로 정의할 수 있다.

각 문서의 corpus 내 단어들을 TF-IDF로 변환하여, 각 문서를 vector화할 수 있다.