yopark.dev
로그인
yopark.dev
로그인
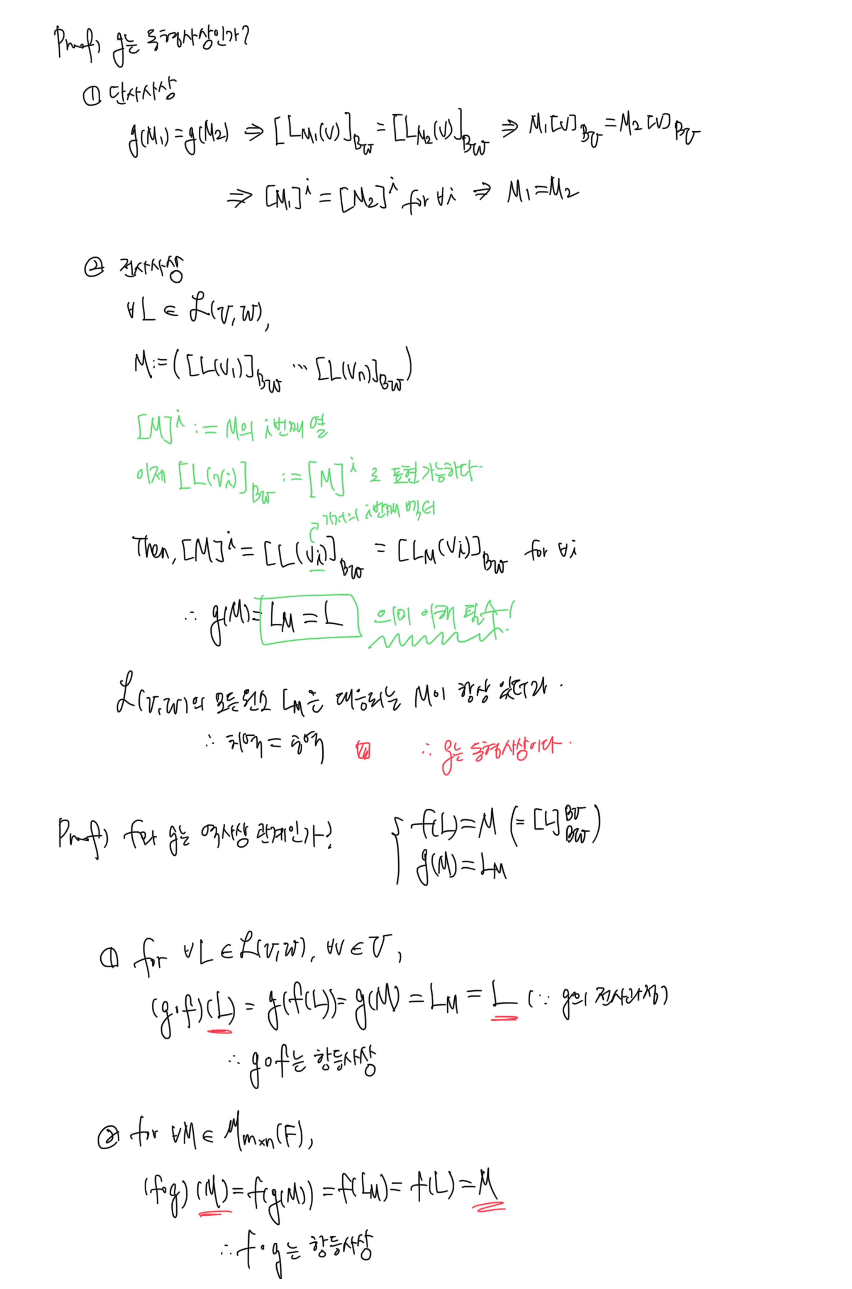
[이상엽 선형대수학] 4강. 선형사상 필기
Yongjun Park
·
2022년 4월 16일
팔로우
0
선형대수학
수학
이상엽 선형대수학
목록 보기
4/8
강의 링크
PPT, 연습문제
Yongjun Park
추상화되었던 기술을 밑단까지 이해했을 때의 쾌감을 잊지 못합니다
팔로우
이전 포스트
[이상엽 선형대수학] 3강. 수학적 벡터 (벡터공간) 필기
다음 포스트
[이상엽 선형대수학] 5강. 고윳값과 대각화 필기
0개의 댓글
댓글 작성