You have a graph of n nodes. You are given an integer n and an array edges where edges[i] = [ai, bi] indicates that there is an edge between ai and bi in the graph.
Return the number of connected components in the graph.

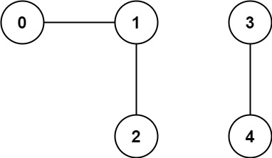
Input: n = 5, edges = [[0,1],[1,2],[3,4]]
Output: 2
Introductory graph problem, solved using DFS (depth-first search). Whenever we encounter a new node, we mark it as visited and go through that entire connected component.
In Python, a global variable can be used with a Depth-First Search (DFS) algorithm, especially when the DFS function is recursive and needs to share or update a state across multiple recursive calls without passing it as an argument.
How to use:
Declare the global variable outside the function: Define the variable at the module level.
global result = [] # Example global variable
Accessing the global variable within the DFS function: If you only need to read the value of the global variable, you can access it directly within the function.
def dfs(node, graph, visited):
global result = []
visited.add(node)
result.append(node) # Accessing global variable
for neighbor in graph[node]:
if neighbor not in visited:
dfs(neighbor, graph, visited)
from collections import defaultdict
class Solution(object):
def countComponents(self, n, edges):
nodes = defaultdict(list)
visited = set()
visit_cnt = 0
for edge in edges:
nodes[edge[0]].append(edge[1])
nodes[edge[1]].append(edge[0])
def dfs(node):
for next_node in nodes[node]:
print(nodes[node])
if next_node not in visited:
visited.add(next_node)
dfs(next_node)
for i in range(n):
if i not in visited:
visited.add(i)
visit_cnt += 1
dfs(i)
return visit_cnt