git merge와 git rebase는 모두 두 브랜치를 합치기 위한 명령어이다. 여기서 두 브랜치는 기준 브랜치와 대상 브랜치로 나눈다.
기준 브랜치 : master와 같이 기준이 되는 브랜치
대상 브랜치 : feature 브랜치들과 같이 master에 합쳐져야 하는 브랜치

git checkout feature // feature로 checkout을 하고
git merge main // feature에 main 브랜치를 merge 한다.

git checkout feature // feature로 checkout을 하고
git rebase main // feature에 main 브랜치를 merge 한다.
즉, git merge와 git rebase의 다른 점은 두 브랜치의 커밋들을 합치기 위해 어떤 전략을 취하는지이다.
만약 기준 브랜치를 대상 브랜치에 merge한다고 하면 (=feature 브랜치에 master 브랜치를 merge) git merge는 기본적으로 merge를 하기 위해 대상 브랜치를 그대로 두고, 기준 브랜치의 변경 사항(커밋)을 대상 브랜치에 얹으면서 합친다. 그때 conflict가 일어나면 conflict를 해결한 커밋 또한 대상 브랜치에 얹어진다. 그렇기 때문에 git merge는 merge가 일어난 시간에 대상 브랜치에 새로운 커밋을 생성한다.
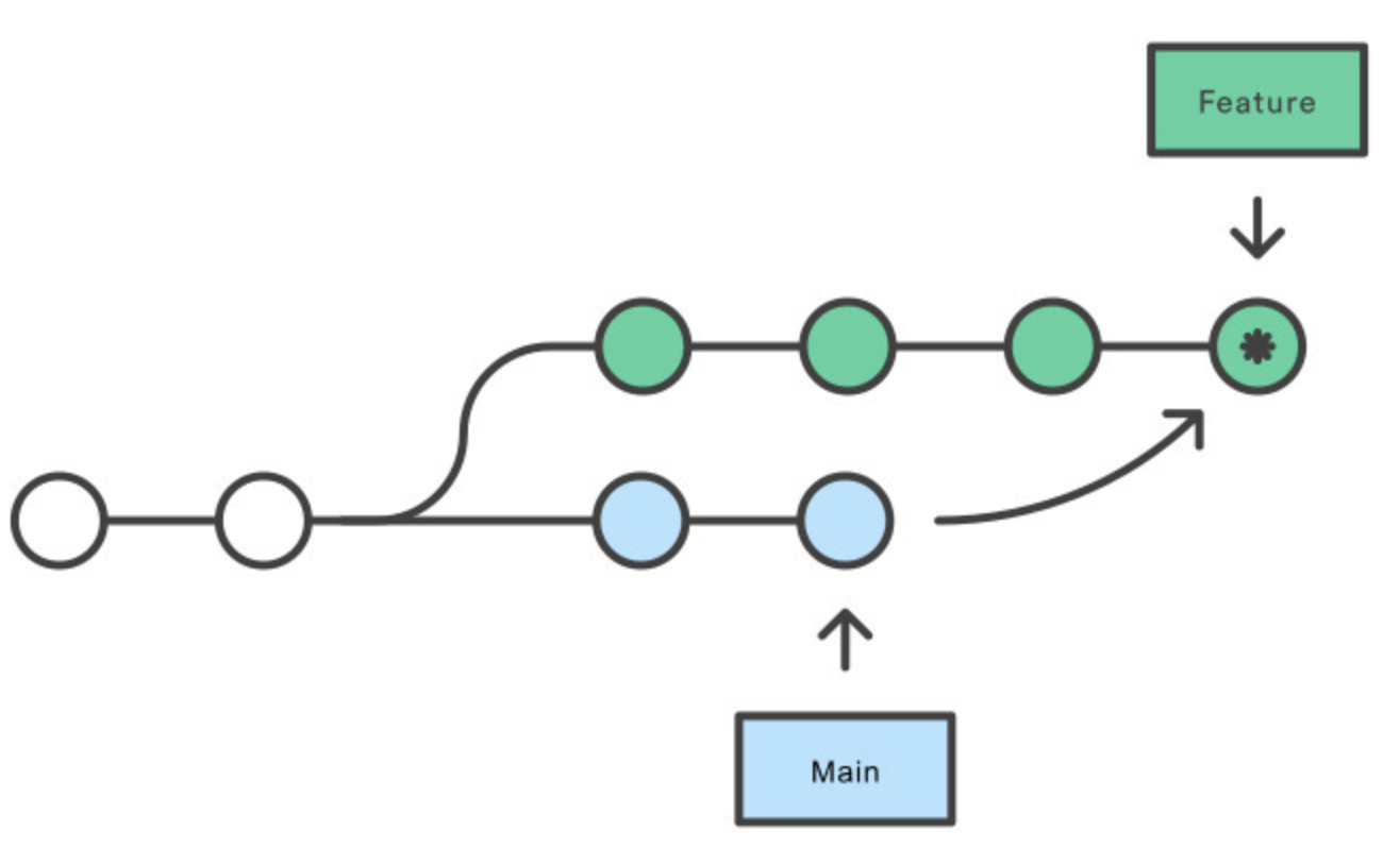
git rebase는 git merge와 반대로, 기준 브랜치를 대상 브랜치에 rebase한다고 하면, 무조건 기준 브랜치의 커밋 순서는 바뀌지 않고 대상 브랜치의 커밋을 기준 브랜치에 얹는 식이다.
git rebase -i ${수정할 커밋의 직전 커밋}
// 커밋 해시를 이용한 방법
git rebase -i 9d9cde8
// HEAD를 이용한 방법
git rebase -i HEAD~3
git rebase --continue
: conflict 발생시, 충돌 파일을 수정하고 git add 후에 git rebase --continue를 진행한다.
만약 rebase 전으로 되돌리고 싶다면 git rebase --abort 를 사용하면 된다.
git rebase --abort
: git rebase 호출 이전의 분기 상태로 되돌린다.
git reflog
: 로컬 저장소에서 HEAD의 업데이트를 기록을 출력한다.
git reflog show HEAD 와 같다. (show HEAD가 생략된 것)
//만약, 특정 브랜치의 reflog만 보고싶다면
git reflog [show] "branch name"

git reset
: commit 취소하기
git reset --hard를 사용하면 현재 작업 위치인 HEAD의 포인터를 특정 위치로 변경해버릴 수 있다.
협업하는 과정에서 이미 원격 리포지터리에 푸시된 커밋 히스토리를 로컬에서 리베이스하여 다시 푸시하는 일은 지양해야 한다. 왜냐하면 rebase는 기존의 커밋을 재사용하는 것이 아니라, 내용이 같은 커밋을 새로 만들기 때문이다.
그렇기 때문에 원격 브랜치(master)를 베이스로 작업하고 있던 동료들의 커밋 히스토리가 와장창 깨질 수도 있게 되고, 특히 함께 협업하는 브랜치에서 --force 로 push 해버린다면, 자칫 동료의 작업본을 날려먹을수도 있다.
📢 rebase로 인해 다른 사람들이 작성하던 commit history 가 바뀌게 된다. 따라서 한 브랜치를 여러명이 수정할 때에는 절대 rebase ❌금지❌다 !!!