
- 문제 선정 이유 : 알고리즘 문제 해결 재활 용 낮은 난이도 문제 풀이
- Solved.ac 기준 실버 3
- 사용언어 C++
문제 해석
- 빈 자리에 숫자를 배치할 수 있는 경우의 수를 찾는 문제
- 문제의 예시로 설명하면 4자리 숫자의 2ㅁㅁ8이라는 위치와 값을 모두 알고 있는 숫자들은 고려하지 않고 남은 자리에 숫자가 들어가는지 여부를 판단
- 빈 곳에 들어갈 숫자가 제공 된다면 배치 관련 경우의 수만 고려
- 경우의 수와 중간 대기 시간을 고려하여 답 도출
문제 풀이
- 결국 이미 위치와 값을 아는 입력은 고려할 필요 없음
- 숫자를 아는 경우와 모르는 경우로 나눠 고려하여 계산
- 조합과 순열을 고려하면 쉬움
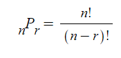
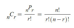
※ 조합과 순열
조합

순열

#include <iostream>
#include <algorithm>
#include <vector>
using namespace std;
int n, m;
int x, y;
long long comb(int a, int b) { // 조합
if (b > a) return 0;
if (b * 2 > a) b = a - b;
if (b == 0) return 1;
long long res = a;
for (int i = 2; i <= b; i++) {
res *= (a - i + 1);
res /= i;
}
return res;
}
long long perm(int a, int b) { // 순열
if (b > a) return 0;
long long res = 1;
for (int i = 0; i < b; i++) {
res *= (a - i);
}
return res;
}
int main() {
cin.tie(NULL);
ios_base::sync_with_stdio(false);
cin >> n >> m;
cin >> x >> y;
int setPW = 0; // 자리수가 주어진 비밀번호
int noneSetPW = 0; // 자리수가 주어지지 않은 비밀번호
for (int i = 0; i < m; i++) {
int a, b;
cin >> a >> b;
if (a != 0) {
setPW++;
}
else {
noneSetPW++;
}
}
n -= setPW; // 자리수가 주어진 비밀번호는 계산에서 제외
long long result = 1;
if (noneSetPW > 0) {
result *= comb(n, noneSetPW) * perm(noneSetPW, noneSetPW); // 조합(자릿수, 자리가 정해지지 않은 수) * 순열(자리가 정해지지 않은 수, 자리가 정해지지 않은 수)
}
n -= noneSetPW;
if (n > 0) {
result *= perm(9 - (setPW + noneSetPW), n); // 순열(9 - (자리가 정해진 수 + 자리가 정해지지 않은 수), 자릿수)
}
cout << result * x + (result - 1) / 3 * y; // 결과 * 입력하는데 걸리는 시간 + (결과 - 1) / 3 * 입력 잠금 시간
return 0;
}