Given head, the head of a linked list, determine if the linked list has a cycle in it.
There is a cycle in a linked list if there is some node in the list that can be reached again by continuously following the next pointer. Internally, pos is used to denote the index of the node that tail's next pointer is connected to. Note that pos is not passed as a parameter.
Return true if there is a cycle in the linked list. Otherwise, return false.

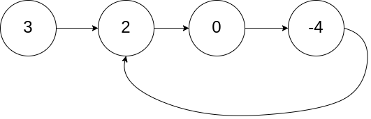
Input: head = [3,2,0,-4], pos = 1
Output: true
Explanation: There is a cycle in the linked list, where the tail connects to the 1st node (0-indexed).

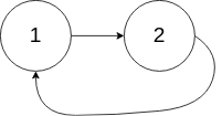
Input: head = [1,2], pos = 0
Output: true
Explanation: There is a cycle in the linked list, where the tail connects to the 0th node.

Input: head = [1], pos = -1
Output: false
Explanation: There is no cycle in the linked list.
Follow up: Can you solve it using O(1) (i.e. constant) memory?
# Definition for singly-linked list.
# class ListNode:
# def __init__(self, x):
# self.val = x
# self.next = None
class Solution:
def hasCycle(self, head: Optional[ListNode]) -> bool:
if head is None:
return False
if head.next is None:
return False
slowCurrent = head
fastCurrent = head.next
while fastCurrent.next!=slowCurrent.next:
if fastCurrent.next is None:
return False
if fastCurrent.next.next is None:
return False
slowCurrent = slowCurrent.next
fastCurrent = fastCurrent.next.next
return True
# Definition for singly-linked list.
# class ListNode:
# def __init__(self, x):
# self.val = x
# self.next = None
class Solution:
def hasCycle(self, head: Optional[ListNode]) -> bool:
slowCurrent = head
fastCurrent = head
while fastCurrent and fastCurrent.next:
slowCurrent = slowCurrent.next
fastCurrent = fastCurrent.next.next
if slowCurrent == fastCurrent:
return True
return False
# Definition for singly-linked list.
# class ListNode:
# def __init__(self, x):
# self.val = x
# self.next = None
class Solution:
def hasCycle(self, head: Optional[ListNode]) -> bool:
visited_nodes = set()
current_node = head
while current_node:
if current_node in visited_nodes:
return True
visited_nodes.add(current_node)
current_node = current_node.next
return False

