Given the head of a linked list, return the node where the cycle begins. If there is no cycle, return null.
There is a cycle in a linked list if there is some node in the list that can be reached again by continuously following the next pointer. Internally, pos is used to denote the index of the node that tail's next pointer is connected to (0-indexed). It is -1 if there is no cycle. Note that pos is not passed as a parameter.
Do not modify the linked list.

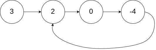
Input: head = [3,2,0,-4], pos = 1
Output: tail connects to node index 1
Explanation: There is a cycle in the linked list, where tail connects to the second node.

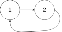
Input: head = [1,2], pos = 0
Output: tail connects to node index 0
Explanation: There is a cycle in the linked list, where tail connects to the first node.

Input: head = [1], pos = -1
Output: no cycle
Explanation: There is no cycle in the linked list.
Follow up: Can you solve it using O(1) (i.e. constant) memory?
참고
https://blog.naver.com/occidere/222260962156
하여 추후 정리...
# Definition for singly-linked list.
# class ListNode:
# def __init__(self, x):
# self.val = x
# self.next = None
class Solution:
def detectCycle(self, head: Optional[ListNode]) -> Optional[ListNode]:
if not head:
return None
slowNode = head
fastNode = head
while fastNode and fastNode.next:
slowNode = slowNode.next
fastNode = fastNode.next.next
if slowNode == fastNode:
break
else:
return None
slowNode = head
while slowNode != fastNode:
fastNode = fastNode.next
slowNode = slowNode.next
return slowNode
