Given the head of a linked list, remove the nth node from the end of the list and return its head.

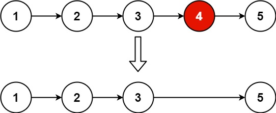
Input: head = [1,2,3,4,5], n = 2
Output: [1,2,3,5]
Input: head = [1], n = 1
Output: []
Input: head = [1,2], n = 1
Output: [1]
The number of nodes in the list is sz.
1 <= sz <= 30
0 <= Node.val <= 100
1 <= n <= sz
Follow up: Could you do this in one pass?
# Definition for singly-linked list.
# class ListNode:
# def __init__(self, val=0, next=None):
# self.val = val
# self.next = next
class Solution:
def removeNthFromEnd(self, head: Optional[ListNode], n: int) -> Optional[ListNode]:
first = head
second = head
for _ in range(n):
first = first.next
if not first:
return head.next
while first.next:
first = first.next
second = second.next
second.next = second.next.next
return head
