Given the head of a singly linked list, reverse the list, and return the reversed list.

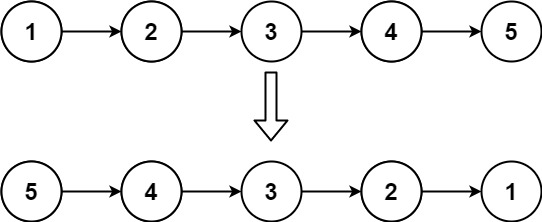
Input: head = [1,2,3,4,5]
Output: [5,4,3,2,1]

Input: head = [1,2]
Output: [2,1]
Input: head = []
Output: []
Follow up: A linked list can be reversed either iteratively or recursively. Could you implement both?
# Definition for singly-linked list.
# class ListNode:
# def __init__(self, val=0, next=None):
# self.val = val
# self.next = next
class Solution:
def reverseList(self, head: Optional[ListNode]) -> Optional[ListNode]:
prev = None
current = head
while current:
next_node = current.next
current.next = prev
prev = current
current = next_node
return prev
