
Tree구조를 다루는데 유용함예시
팩토리얼 계산의 예시 : n 팩토리얼을 계산하는 과정에서 n-1 팩토리얼의 계산 과정을 필요로 함
n! = (n = 0) 1 || (n >= 1) n * (n-1)!
자기 자신을 호출하기 때문에 정지 조건을 명시하지 않으면 무한히 반복하게 됨
factorial(3)을 연산하는 과정을 통해 재귀 연산 과정을 알아봄
factorial(3)에서 종료 조건 검사3 == 0 이 false이므로 3 * factorial(3-1) 연산 과정에서 factorial(2) 호출factorial(2)에서 종료 조건 검사2 == 0 이 false이므로 2 * factorial(2-1) 연산 과정에서 factorial(2) 호출factorial(1)에서 종료 조건 검사1 == 0 이 false이므로 1 * factorial(1-1) 연산 과정에서 factorial(0) 호출factorial(0)에서 종료 조건 검사0 == 0 이 true이므로 1을 반환factorial(0)이 1을 반환, factorial(1) 함수에서 1 * factorial(0)의 값이 1로 도출되어 반환됨factorial(1)이 1을 반환, factorial(2) 함수에서 2 * factorial(1)의 값이 2로 도출되어 반환됨factorial(2)의 값이 3을 반환, factorial(3) 함수에서 3 * factorial(2)의 값이 6으로 도출되어 최종적으로 값을 출력재귀 파트종료 파트Iteration과 비교될 수 있음Iteration
for,while을 통해 구현- 반복 조건이
for,while문에 명시됨- 반복문 내부는 반복 시 실시할 시퀀스가 명시됨
- 자료 구조에 따라 재귀 방식보다 비효율적일 경우가 있음
Tree나 Graph에서 동일한 일이 점차 작은 업무로 분산되는 특성을 가지는 경우 재귀 방식을 사용하는 것이 Iteration 방식을 활용하는 것보다 자연스러움function call(함수 호출)을 반드시 포함하기 때문에 일반적으로 Iteration 방식보다는 느림O(n)으로 동일x를 n번 곱하므로 직관적이며 O(n)의 시간복잡도를 가짐n == 0일 때 1을 반환n이 짝수일 때는 pow(x*x, n/2)를 호출n이 홀수일 때는 x * pow(x*x, (n-1)/2)를 호출
pow(2,5)에서 5 == 0이 false이고 5가 홀수이므로2 * pow(2 * 2, (5 -1)/2) 연산 과정에서 pow(4,2)를 호출pow(4,2)에서 2 == 0이 false이고 4가 짝수이므로pow(4 * 4, 2 / 2) 연산 과정에서 pow(16,1)을 호출pow(16,1)에서 1 == 0이 false이고 1이 홀수이므로16 * pow(16 * 16, (1 - 1) / 2 ) 연산 과정에서 pow(256, 0)을 호출pow(256,0)은 종료 조건을 만족하므로 1을 반환pow(16,1)은 16 * pow(256, 0)의 결과로 16을 반환 pow(4,2)는 pow(16,1)의 결과로 16을 반환pow(2,5)는 2 * pow(4,2)의 결과인 32로 최종값을 도출x^n연산에서 재귀 방식은 O(log₂ n)의 복잡도를 가짐(n == 0) return 0(n == 1) return 1재귀 호출:
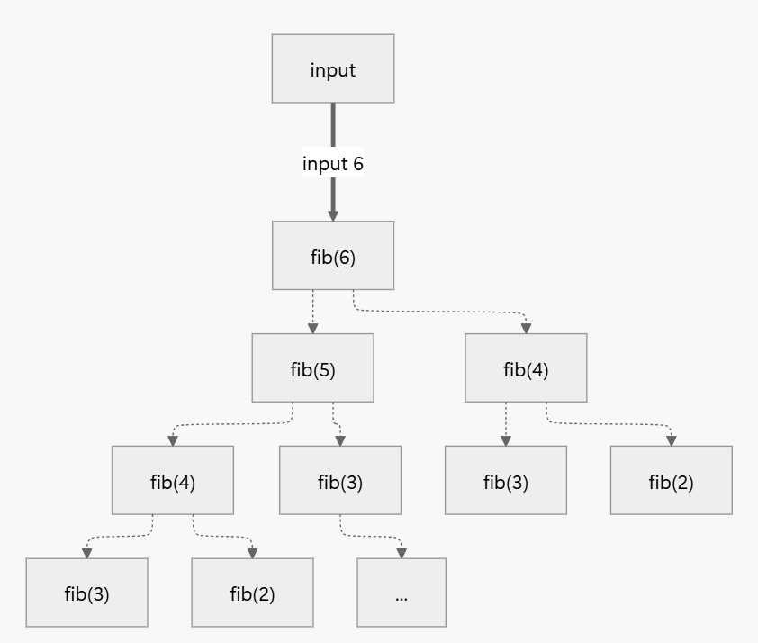
fib(n - 1) + fib(n - 2)

fib(6)을 연산하는 과정에서 fib(4)나 fib(3)이 반복적으로 등장하며 동일한 연산을 독립적인 작업 내에서 따로 따로 실시하는 비효율적인 방식으로 동작
Iteration 방식은 O(n)의 시간복잡도를 가지지만 재귀 방식은 O(2^n)의 복잡도를 가져 보다 비효율적임