인터넷의 작동 원리

매일 꾸준하게·2024년 3월 7일
post-thumbnail

인터넷?

인터넷은 "인터커넥트 네트워크(Interconnected NetWork)"의 줄임말입니다.
컴퓨터들이 상호적으로 연결되어 정보를 교환, 공유하며 확장하는 네트워크 시스템을 의미합니다.

그러면 컴퓨터들이 연결될려면 어떻게 해야 할까?

유선 통신과 무선통신의 2가지 case가 있습니다.

네트워크(Netwrok)

네트워크는 크게 4가지 방법으로 구분됩니다.
이러한 방식으로 패킷(packit)을 주고 받으며 데이터를 송수신합니다.

image.jpg1image.jpg2image.jpg3image.jpg4
직접연결라우터를 이용한 연결모뎀을 이용한 연결ISP

1번째 유선 통신

두 대의 컴퓨터가 통신을 한다면, 다른 컴퓨터와 유선으로 연결되어야 합니다.
하지만, 유선 통신한다면 많은 수의 컴퓨터가 연결될 때, 많은 케이블이 필요하고
물리적으로 실현 가능성이 낮아집니다. 그래서 현재의 인터넷은 무선통신으로 사용됩니다.

2번째 무선 통신

무선통신은 말 그대로 이더넷 케이블을 사용하지 않고 WIFI나 Bluetooth를 통해서 연결하는 통신을 의미합니다. 하지만 이러한 통신은 첫번째 사진처럼 복잡하고 정리가 되어 있지 않기 때문에 직접 통신은 작은 프로젝트에서만 사용됩니다.

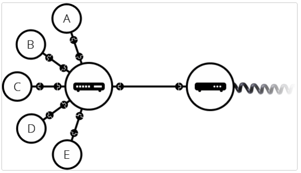
라우터

앞서 말했던 통신은 복잡하기 때문에 에러나 혼선이 발생할 수 있습니다. 이러한 점을 해결하기 위해서 라우터(router)라는 특수한 소형 컴퓨터을 사용합니다. 라우터는 컴퓨터 네트워크에서 데이터 패킷의 전달을 관리하는 장치입니다.
라우터는 네트워크 내에서 패킷(packit)이라는 데이터 뭉치를 송수신할 경로를 결정하고 전달해주며, 여러 네트워크 간의 통신을 가능하게 합니다.

모뎀

모뎀은 "Modulator-Demodulator"의 줄임말로, 디지털 신호를 아날로그 신호로 변환하거나, 그 반대로 아날로그 신호를 디지털 신호로 변환하는 장치입니다. 전화기 기반의 시설은 이미 세계 어느 곳과도 연결되어 있으므로 완벽한 배선이라고 할수 있기에, 네트워크의 구축을 위해 전화 기반 시설을 활용하기 위해 모뎀이 개발되었습니다.
모뎀은 컴퓨터나 다른 디지털 장치를 전화선, 케이블, 광섬유 케이블 등의 통신 회선에 연결하여 인터넷 접속이나 데이터 통신을 가능하게 합니다.
일반적으로 모뎀은 ISP(Internet Service Provider, 인터넷 공급업체)로부터 제공받은 디지털 신호를 이용하여 인터넷에 연결하고, 컴퓨터나 다른 네트워크 장치와의 통신을 가능하게 합니다. 종류에는 DSL 모뎀, 케이블 모뎀, 광섬유 모뎀 등이 있으며, 각각의 종류는 사용되는 통신 회선에 따라 다릅니다.

ISP

인터넷 서비스 제공 업체(Internet Service Provider) 로, 사용자에게 인터넷 연결을 제공하고 다양한 온라인 서비스를 제공하는 중개 역할을 하며 IP 주소 할당, 도메인 관리, 데이터 트래픽 제어 등을 담당하며 사용자에게 다양한 요금제와 기술 지원을 제공합니다.

KT,SKT,LG U+ 같은 ISP 업체는 특수한 라우터를 관리 및 유지 보수하며 다른 ISP의 라우터에도 액세스할 수 있게 합니다.

데이터 (DATA)교환

데이터 교환은 네트워크를 통해서 진행됩니다. 앞서 말했던 형식에 따라서 진행이 되는데 데이터를 보내기 위해서는 통신 규약이 필요합니다. 왜냐하면 다양한 규격의 DATA들이 돌아다니면 서버, 컴퓨터마다 각 각의 DATA 규격에 맞는 OS(operation system)가 필요하기 때문입니다.

IP

IP는 Intertent Protocol의 약자입니다. 쉽게 말해 인터넷 네트워크의 주소를 의미하는데 일반적으로 한 개의 컴퓨터는 하나의 network를 쓰기 때문에 이를 식별할 수 있습니다. 이는 물리적은 주소가 아니라 가상의 주소로 쉽게 가변하며 DHCP(Dynamic Host Configuration Protocol)를 통해 할당도 가능합니다.

A 컴퓨터가 메시지(DATA)를 보내려면 메시지(DATA)를 받을 특정 B 컴퓨터를 지정해야합니다. 따라서 네트워크에 연결된 모든 컴퓨터에는 IP 주소라는 고유한 주소가 필요합니다. 주소는 점으로 구분 된 네 개의 숫자로 구성된 주소입니다.
예: 192.168.2.10.

컴퓨터는 이러한 주소로 다른 컴퓨터를 찾아가는데 문제가 없습니다. 그러나 우리들은 IP주소를 기억하기 어렵죠. 그래서 우리는 '도메인 이름' 이라고하는 사람이 읽을 수 있는 IP 주소의 이름을 지정할 수 있습니다. 예를 들어 'google.com'은 IP 주소로 '173.194.121.32' 입니다. 따라서 '도메인 이름'은 'IP주소'보다 인터넷을 사용하기에 쉽습니다.

TCP

"TCP"는 "Transmission Control Protocol"의 약어로, 네트워크에서 데이터를 안정적으로 전송하기 위해 사용되는 프로토콜입니다. TCP는 인터넷 프로토콜 스위트(IP 프로토콜을 기반으로 하는 프로토콜 모음)의 일부이며, 데이터 전송의 신뢰성을 보장하기 위해 패킷 손실, 지연, 순서 변경 등의 문제를 처리합니다. TCP는 대부분의 웹 브라우징, 이메일 전송, 파일 전송 등에서 사용됩니다.

key point!
이메일, 메시지 같은 데이터(packit)의 손실이 발생하면 안 될 때 사용

UDP

"UDP"는 "User Datagram Protocol"의 약어로, 또 다른 네트워크 프로토콜입니다. TCP와 마찬가지로 인터넷 프로토콜 스위트의 일부입니다.

UDP는 TCP와는 다르게 데이터 전송의 신뢰성을 중시하지 않고, 대신에 빠른 전송을 목적으로 합니다. 따라서 UDP는 연결 지향적이지 않으며, 패킷 손실이나 순서 변경 등의 문제가 발생할 수 있습니다. 그러나 이러한 특성 덕분에 TCP보다 빠른 속도와 더 낮은 대역폭을 필요로 합니다.
UDP는 실시간 스트리밍, 도메인 이름 서비스(DNS), 온라인 게임, 음성 통신 등에서 주로 사용됩니다. 이러한 응용 프로그램에서는 데이터의 손실이 발생해도 중요한 부분이 빠르게 전송되는 것이 더 중요할 수 있습니다.

key point!
전화나, 스트리밍과 같은 데이터 손실이 발생해도 괜찮을 때 사용!

PORT

컴퓨터 네트워크에서, "PORT"는 특정 프로세스나 서비스를 식별하는 데 사용되는 숫자입니다.
TCP 및 UDP 프로토콜에서 각각 0부터 65535까지의 포트 번호를 할당할 수 있습니다.
예를 들어, 웹 서버는 보통 TCP 포트 80을 사용하고, SSH는 TCP 포트 22를 사용합니다.
포트는 트래픽을 구분하고 특정 프로그램에게 전달하기 위해 사용되는 물리적 번호입니다.

DNS (Domain Name System)

"DNS"는 도메인 이름을 IP 주소로 변환하거나, 그 반대의 역할을 수행하는 인터넷의 기본적인 서비스입니다.
인터넷에서 각각의 웹사이트나 네트워크 리소스는 IP 주소로 식별됩니다. IP주소를 보고 사용자가 이해하기 어렵기 때문에 도메인 이름을 사용합니다. 이를 통해 웹 브라우저는 사용자가 입력한 도메인 이름에 대한 웹사이트의 IP 주소를 찾아서 해당 웹사이트로 연결할 수 있습니다.
ex : google.com

출처

profile
현직 BackEnd Dev with Spring

0개의 댓글