[LeetCode] Balanced Binary Tree

아르당·2025년 9월 3일

LeetCode

목록 보기
24/303
post-thumbnail

문제를 이해하고 있다면 바로 풀이를 보면 됨
전체 코드로 바로 넘어가도 됨
마음대로 번역해서 오역이 있을 수 있음

Problem

이진 트리가 주어졌을 때, 높이 균형 이진 탐색 트리인지 결정해라.

높이 균형 이진 탐색 트리는 모든 노드에서 두 서브 트리의 깊이 차이가 1을 넘지 않는 이진 트리이다.

Example

#1

Input: root = [3, 9, 20, null, null, 15, 7]
Output: true

#2

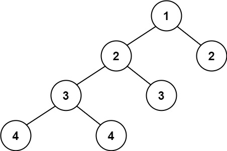
Input: [1, 2, 2, 3, 3, null, null, 4, 4]
Output: false

#3
Input: root = []
Output: true

Constraints

  • 트리 안에 노드의 숫자는 0에서 500 범위 안에 있다.
  • -10^4 <= Node.val <= 10^4

Solved

/**
 * Definition for a binary tree node.
 * public class TreeNode {
 *     int val;
 *     TreeNode left;
 *     TreeNode right;
 *     TreeNode() {}
 *     TreeNode(int val) { this.val = val; }
 *     TreeNode(int val, TreeNode left, TreeNode right) {
 *         this.val = val;
 *         this.left = left;
 *         this.right = right;
 *     }
 * }
 */
class Solution {
    public boolean isBalanced(TreeNode root) {
        return checkHeight(root) != -1;
    }

    public int checkHeight(TreeNode node) {
        if(node == null) return 0;

        int left = checkHeight(node.left);
        if(left == -1) return -1;

        int right = checkHeight(node.right);
        if(right == -1) return -1;

        if(Math.abs(left - right) > 1) return -1;

        return Math.max(left, right) + 1;
    }
}

이전에 풀었던 Convert Sorted Array to Binary Search Tree와 유사하다.

profile
내 마음대로 코드 작성하는 세상

0개의 댓글