[LeetCode] Maximum Dept of Binary Tree

아르당·2025년 5월 14일

LeetCode

목록 보기
22/303
post-thumbnail

문제를 이해하고 있다면 바로 풀이를 보면 됨
전체 코드로 바로 넘어가도 됨
마음대로 번역해서 오역이 있을 수 있음

Problem

이진 트리 root가 주어지고, 최대 깊이를 반환해라.

이진 트리의 최대 깊이는 루트 노드에서 가장 먼 리프 노드까지 가장 긴 경로에 있는 노드의 수이다.

Example

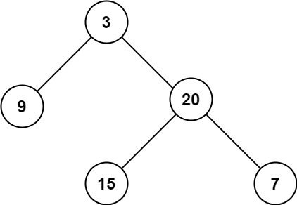
#1

Input: root = [3, 9, 20, null, null, 15, 7]
Output: 3

#2
Input: root = [1, null, 2]
Output: 2

Constraints

  • 트리 안에 노드의 숫자는 0에서 10^4 범위 안에 있다.
  • -100 <= Node.val <= 100

Solved

재귀 호출을 사용해서 풀었다. 리프 노드를 매개변수로 담아 가장 깊은 리프 노드까지 가서 해당 노드의 루트가 null이면 0을 반환하고, 그렇지 않다면 Math.max를 이용해서 왼쪽 노드와 오른쪽 노드에서 큰 값에 +1을 하고 반환한다.

/**
 * Definition for a binary tree node.
 * public class TreeNode {
 *     int val;
 *     TreeNode left;
 *     TreeNode right;
 *     TreeNode() {}
 *     TreeNode(int val) { this.val = val; }
 *     TreeNode(int val, TreeNode left, TreeNode right) {
 *         this.val = val;
 *         this.left = left;
 *         this.right = right;
 *     }
 * }
 */
class Solution {
    public int maxDepth(TreeNode root) {
        if(root == null){
            return 0;
        }

        return Math.max(maxDepth(root.left), maxDepth(root.right)) + 1;
    }
}
profile
내 마음대로 코드 작성하는 세상

0개의 댓글