[LeetCode] Symmetric Tree

아르당·2025년 5월 13일

LeetCode

목록 보기
21/303
post-thumbnail

문제를 이해하고 있다면 바로 풀이를 보면 됨
전체 코드로 바로 넘어가도 됨
마음대로 번역해서 오역이 있을 수 있음

Problem

이진 트리의 루트가 주어지고, 이 트리가 대칭인지 확인해라.

Example

#1

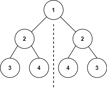
Input: root = [1, 2, 2, 3, 4, 4, 3]
Output: true

#2

Input: root = [1, 2, 2, null, 3, null, 3]
Output: false

Constraints

  • 트리 안에 노드의 숫자는 1에서 1000까지 범위에 있다.
  • -100 <= Node.val <= 100

All Code

/**
 * Definition for a binary tree node.
 * public class TreeNode {
 *     int val;
 *     TreeNode left;
 *     TreeNode right;
 *     TreeNode() {}
 *     TreeNode(int val) { this.val = val; }
 *     TreeNode(int val, TreeNode left, TreeNode right) {
 *         this.val = val;
 *         this.left = left;
 *         this.right = right;
 *     }
 * }
 */
class Solution {
    public boolean isSymmetric(TreeNode root) {
        if(root == null){
            return true;
        }

        return isSymmetric(root.left, root.right);
    }

    public boolean isSymmetric(TreeNode left, TreeNode right) {
        if(left == null && right == null){
            return true;
        }

        if(left == null || right == null){
            return false;
        }

        if(left.val != right.val){
            return false;
        }

        return isSymmetric(left.left, right.right) && isSymmetric(left.right, right.left);
    }
}
profile
내 마음대로 코드 작성하는 세상

0개의 댓글