import tensorflow as tf
tf.__version__
# 2.15.0
layers = tf.keras.layers
inputs = tf.random.normal([2, 5, 4])
inputs
#<tf.Tensor: shape=(2, 5, 4), dtype=float32, numpy=
#array([[[ 4.4453326e-01, 1.0075720e-01, -9.5329976e-01, #1.1139495e+00],
# [ 8.4952074e-01, -8.2276110e-04, -4.4115674e-01, #2.1292589e+00],
# [-4.7433725e-01, 2.6830766e-01, -1.1578703e+00, 9.8682511e-#01],
# [ 9.8028284e-01, 6.5015936e-01, 1.4324926e+00, #1.0221030e+00],
# [ 9.6877623e-01, 7.0859128e-01, 1.5271817e+00, -8.8737763e-#02]],
#
# [[-1.1165879e+00, 1.3280001e-01, -1.0021292e+00, 1.5935566e-#01],
# [-1.5056019e+00, -4.3323570e-01, 5.5768734e-01, -7.4184048e-#01],
# [ 2.1857807e-01, 2.6606172e-01, 9.8774773e-01, -1.4808702e-#01],
# [ 2.1850944e+00, 1.5791602e-01, -8.1345099e-01, -4.5798057e-#01],
# [ 4.2589566e-01, 1.5710378e+00, 2.9278207e-01, 8.3634877e-#01]]],
# dtype=float32)>

model = tf.keras.Sequential()
model.add(layers.GRU(1, return_sequences=False)) # 2, 1을 입력값을 받을 수 없다.
model(inputs)
#<tf.Tensor: shape=(2, 1), dtype=float32, numpy=
#array([[-0.61818504],
# [-0.83722234]], dtype=float32)>
model.summary()
Model: "sequential"
_________________________________________________________________
Layer (type) Output Shape Param #
=================================================================
gru (GRU) (2, 1) 21
=================================================================
Total params: 21 (84.00 Byte)
Trainable params: 21 (84.00 Byte)
Non-trainable params: 0 (0.00 Byte)
_________________________________________________________________

model = tf.keras.Sequential()
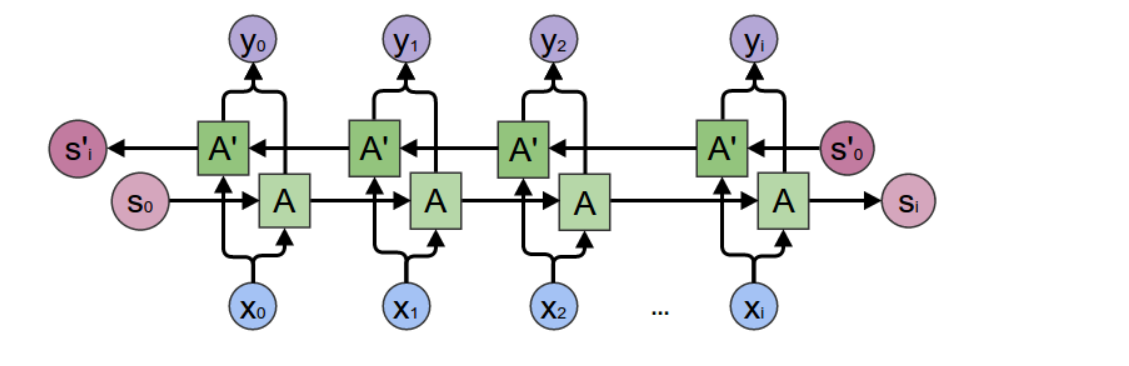
model.add(layers.Bidirectional(layers.LSTM(1, return_sequences=True)))
model.add(layers.Bidirectional(layers.LSTM(1, return_sequences=True)))
model.add(layers.Bidirectional(layers.LSTM(1)))
model(inputs)
#<tf.Tensor: shape=(2, 2), dtype=float32, numpy=
#array([[-0.03389528, -0.00798441],
# [-0.02343381, 0.00245169]], dtype=float32)>
model.summary()
Model: "sequential_1"
_________________________________________________________________
Layer (type) Output Shape Param #
=================================================================
bidirectional (Bidirection (2, 5, 2) 48
al)
bidirectional_1 (Bidirecti (2, 5, 2) 32
onal)
bidirectional_2 (Bidirecti (2, 2) 32
onal)
=================================================================
Total params: 112 (448.00 Byte)
Trainable params: 112 (448.00 Byte)
Non-trainable params: 0 (0.00 Byte)
_________________________________________________________________