
최단거리 문제입니다. 다익스트라로 해결하였습니다.
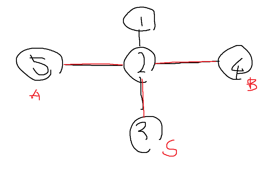
이 문제에서 중요한 것은 A와 B는 특점 지점까지만 합승하고 남은 길은 따로 가는것이 포인트입니다. 그러나 역으로 생각해보면 S, A, B 각각의 지점이 특점 지점까지 모이는 거리와 같은 의미가 됩니다.

만약 위 그림과 같이 2 지점까지만 합승하고 A와 B는 따로 가는것이 최단거리라 가정해봅시다.
이 것은 결국 S, A, B 각각의 지점에서 2지점까지 가는 최소거리들의 합 이 됩니다.
코드 올려드리겠습니다.
package Kakao_Blind_Recruitment_2021.합승_택시_요금
import java.util.*
import kotlin.math.*
const val INF = 1_000_000_000
class Solution {
private lateinit var dst: IntArray
private lateinit var list: Array<ArrayList<Node>>
fun solution(n: Int, s: Int, a: Int, b: Int, fares: Array<IntArray>): Int {
var answer: Int = Integer.MAX_VALUE
list = Array(n + 1) { ArrayList<Node>() }
// 인접리스트 채우기
for (i in fares.indices) {
val (start, end, weight) = fares[i].map { it }
list[start].add(Node(end, weight))
list[end].add(Node(start, weight))
}
val dstS = dijkstra(s, n)
val dstA = dijkstra(a, n)
val dstB = dijkstra(b, n)
for (i in 1 .. n) {
// 갈 수 없는 곳이면 continue
if (dstS[i] == INF || dstA[i] == INF || dstB[i] == INF) continue
// S, A, B 각각 i지점까지 오는 최단거리는 i지점까지 합승하고 A, B 따로 가는 거리와 같다.
answer = min(answer, dstS[i] + dstA[i] + dstB[i])
}
return answer
}
fun dijkstra(start: Int, n: Int): IntArray {
val q = PriorityQueue<Node>()
val isVisited = BooleanArray(n + 1)
dst = IntArray(n + 1) {i -> INF}
dst[start] = 0
q.offer(Node(start, 1))
while (q.isNotEmpty()) {
val cur = q.poll()
if (isVisited[cur.end]) continue
isVisited[cur.end] = true
for (next in list[cur.end]) {
if (dst[next.end] > dst[cur.end] + next.weight) {
dst[next.end] = dst[cur.end] + next.weight
q.offer(Node(next.end, dst[next.end]))
}
}
}
return dst
}
}
data class Node(val end: Int, val weight: Int) : Comparable<Node> {
override fun compareTo(other: Node) = weight - other.weight
}
import java.util.*;
class Solution {
static ArrayList<Node>[] list;
static int n, s, a, b, fares[][];
static int[] dst;
static boolean[] isVisited;
static final int INF = Integer.MAX_VALUE;
public int solution(int n, int s, int a, int b, int[][] fares) {
this.n = n; this.s = s; this.a = a; this.b = b; this.fares = fares;
list = new ArrayList[n + 1];
for (int i = 0 ; i <= n ; i++) {
list[i] = new ArrayList<>();
}
for (int i = 0 ; i < fares.length ; i++) {
int start = fares[i][0];
int end = fares[i][1];
int weight = fares[i][2];
list[start].add(new Node(end, weight));
list[end].add(new Node(start, weight));
}
int min = Integer.MAX_VALUE;
int[] Sdst = dijkstra(s);
int[] Adst = dijkstra(a);
int[] Bdst = dijkstra(b);
for (int i = 1 ; i <= n ; i++) {
min = Math.min(Sdst[i] + Adst[i] + Bdst[i], min);
}
return min;
}
static int[] dijkstra (int start) {
PriorityQueue<Node> q = new PriorityQueue<>();
isVisited = new boolean[n + 1];
dst = new int[n + 1];
Arrays.fill(dst, INF);
q.offer(new Node (start, 0));
dst[start] = 0;
while (!q.isEmpty()) {
Node d = q.poll();
if (isVisited[d.end]) continue;
isVisited[d.end] = true;
for (Node next : list[d.end]) {
if (!isVisited[next.end] && dst[next.end] > dst[d.end] + next.weight) {
dst[next.end] = dst[d.end] + next.weight;
q.offer(new Node(next.end, dst[next.end]));
}
}
}
return dst;
}
}
class Node implements Comparable<Node>{
int end;
int weight;
Node(int end, int weight) {
this.end = end;
this.weight = weight;
}
@Override
public int compareTo(Node o) {
return this.weight - o.weight;
}
}