
3월에 여는 편의점의 수익을 예측하는 상황을 가정해 보자.
| Month | # visited customers | Revenue |
|---|---|---|
| Aug | 6000 | $60K |
| Jul | 5200 | $52K |
| Jun | 4500 | $50K |
| ... | ... | ... |
원하는 정답(label)이 존재할 경우 Supervised Learning을 이용한다.
이 경우 label은 수익!
Supervised Learning의 일종으로, 주어진 데이터를 나타내는 최적의 직선을 찾아냄으로써 input(x)와 output(y) 사이의 관계를 도출해내는 과정!
Univariate: x column이 하나인 경우
| Month | # visited customers (x) | Revenue (y) |
|---|---|---|
| Aug | 6000 | $60K |
| Jul | 5200 | $52K |
| Jun | 4500 | $50K |
| ... | ... | ... |
이 경우는 Univariate Linear Regression이다.
Terminologies (용어)
- m: # training examples
- x: input variables or features
- y: output variables or "target" variable
- (x,y): one training example
- (,): i -th training example
주어진 표대로, customers에 따른 revenue를 좌표평면에 표시해 보자.

input(x)와 output(y) 사이의 관계를 정의하는 함수이다.
앞에서 언급한 주어진 데이터를 나타내는 최적의 직선을 표현하기 위해 사용하는 식!
Hypothesis Function Form (Univariate)
는 bias값으로, 유무는 그닥 상관없다.
가장 적절한 와 값을 찾는 것이, 즉 이 값을 조정하여 better fitting line을 찾는 것이 곧 Linear Reression의 과정이다!
이때 사용할 수 있는 것이...
f(X)와 y 사이의 gap을 측정하는 Error Function
Cost Function Form (Univariate)
을 제곱해도 되고, 안 해도 된다.
또한 빠져도 되며, 심지어는 으로 들어가도 상관없다. 우리는 β값을 찾는 것이니 상수곱이 있든 없든 상관이 없다는 것이다. 뭐라는지 모르겟다 계산해봐야 알겟다 ㅁㅊ
cost function은 형태가 다양한가 보다. 그래도 제곱+ 들어간 걸 제일 많이 쓰지만... 후에 나올 LSE랑 형태가 겹쳐서 그런가? 왜 여기선 이렇게 되어 있는지 영 모르겠지만 암튼 교수님은 이렇게 소개하셨다.
ex) If we use =10, =0
| X | y | f(X) | Error(y-f(X)) |
|---|---|---|---|
| 6000 | $60K | 60K | 0 |
| 5200 | $52K | 52K | 0 |
| 4500 | $50K | 45K | 5K |
Univariate만 다뤄도 된다면 참 좋겠지만,
우리는 벡터의 노예... Multivariate 등장이다.
Multivariate: x column, 즉 feature가 여러 개인 경우
| Month | # visited customers | Spending per Customer | Revenue |
|---|---|---|---|
| Aug | 6000 | $13 | $60K |
| Jul | 5200 | $15 | $52K |
| Jun | 4500 | $12 | $50K |
| ... | ... | ... | ... |
이 경우는 Multivariate Linear Regression이다.
Hypothesis Function Form (Multivariate)
Terminologies (용어)
- : Bias (as we usually put =1)
- : Unknown parameters
- : Input variables
- f(X): model(predictor) or hypothesis
- m: number of features
- Y: Target variables
앞의 편의점(Multivariate) 예시에 대입하여 생각해 보자. (m=2) 이 경우...
가장 적절한 값을 찾아냄으로써 최적의 직선을 찾을 수 있겠다!
어떻게 찾느냐!? 역시 Cost Function 활용이다.
나 필기 보니까 , 에만 표시해 놨던데 이유 안 써 놔서 왜인지 모르겠다 녹강 확인하기
PPT에는 Least (Mean) Squares라고 되어 있는데...
참고: https://stats.stackexchange.com/questions/146092/mean-squared-error-versus-least-squared-error-which-one-to-compare-datasets
위 답변 내용에 따르면 minimizing the "total" euclidean distance between a line and the data points, 즉 선형 회귀 모델을 생성할 때 쓰이는 것이 Least Square Error (LSE) 이다.
Mean Square Error (MSE) 는 이렇게 생성된 모델을 평가할 때 쓰는 것이지만, LSE와 수식이 똑같다. 어떻게 이럴 수가
암튼 LSE에 대하여 알아보자.
끝을 method로 해서 LSM라고 쓰기도 하나 봐.
Cost Function in Multivariate Linear Regression이 곧 LSE(LSM)이다. N개의 training observations(, ... ,, 즉 학습데이터)가 parameter 추정에 이용된다.
슬프게도 는 scalar가 아냐...
그리고 값을 Residual이라고 하나 보다.
앞서 말했듯 같은 거 들어가도 된다. 다만 교수님은 위처럼 쓰셧음.
Fit the least squares ― dimensional space 라고 돼 있는데
이거 뭔 뜻이지 못 알아먹겠음
p는 지금 feature 개수잖아?
unknown parameter 가 , , ..., 까지 p+1개 나올 수 있다는 말인 듯
이러면 p+1차원이니까

대충 위 cost function을 그래프로 그려 보면 이렇더라~
여태 한 얘기를 간단히 종합하자면,
그 방법이 바로...

우리 미분 배웟잖아!
미분값이 0이 되는 지점을 계산으로 구하면 최솟값이 나오리라- 결국 이게 gradient descent algorithm이었던 게다.


| feature 개수 | optima의 개수 | |
|---|---|---|
| 1개 | 2차원 | Linear |
| 여러 개 | n차원 | Non-linear |
n>2
는 feature 수에 따라 그 개수가 늘어난다.
는 Learning Rate로 update 속도를 조절한다. (size of steps)
는 방향을 결정한다. (moving directions)
ex) feature이 1개인 경우를 상정하여 유도식을 만들어 보자.

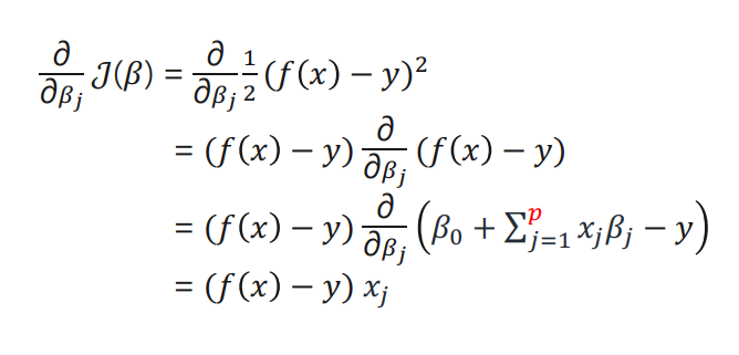
수식 다 쓰다가 화딱지 나서 그냥 캡처해 옴
Therefore, for a training sample ,

learning rate(α)가 크면 each step도 함께 커짐

gradient descent를 두 가지로 나누자면...
Look at single sample in the training set for each iteration and update the parameters.
Therefore, for m training samples ,
Repeatedly update until convergence (수렴 전까지)
for i=1 to m,
Look at every sample in the training set for each iteration and update the parameters.
Therefore, for m training samples ,
Repeatedly update until convergence (수렴 전까지)

SGD가 이론적으로는 larger training set에 더 적합함
Mini-batch Gradient Descent(MSGD)는 둘의 장점을 종합한...
전체 데이터(Batch)가 아닌 일부 데이터의 모음(Mini-batch)만 사용.
근데 요새 SGD라 하면 거의 이거 말하는 거라고 하긴 하네