인터넷이란 전 세계에 걸쳐 원거리 접속이나 파일 전송, 전자 메일 등의 데이터 통신 서비스를 받을 수 있는, 컴퓨터 네트워크의 시스템을 일컫는다.

컴퓨터는 다른 컴퓨터와 통신을 통해 데이터를 주고 받을 수 있다. 그러기 위해서는 두 컴퓨터는 연결되어있어야 하는데, 유선 또는 무선으로 연결이 가능하다.

초기에는 컴퓨터 간에 직접적으로 연결하였으나 점차 컴퓨터가 늘어나면서 케이블이 복잡해졌다.

이 문제를 해결하기위해 라우터라는 소형 컴퓨터를 만들어서 중계 역할을 맡겼다. 예를들어 컴퓨터 B에게 메시지를 보내려면 컴퓨터 A가 메시지를 라우터로 보내야하며, 라우터는 메시지를 컴퓨터 B로 전달하고 메시지가 컴퓨터 C로 배달되지 않도록해야한다. 이 라우터를 시스템에 추가하면 10대의 컴퓨터 네트워크에는 10개의 케이블만 필요하다.
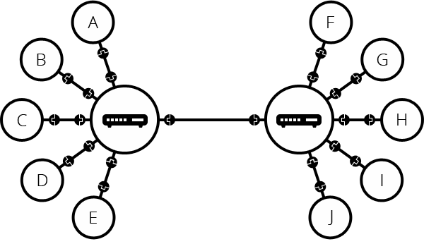
라우터도 소형컴퓨터이기 때문에 라우터끼리 통신이 가능하다. 따라서 컴퓨터가 늘어남에 따라 라우터끼리 통신을 하는 아래와 같은 형태가 나타나기 시작했다.

다음과 같은 형태를 활용하면 효율적으로 연결 가능한 컴퓨터가 늘어나게 된다.

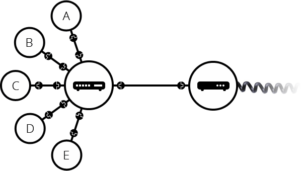
그러나 세계화가 진행됨에 따라 케이블로 연결할 수 있는 범위에 제한이 생긴다. 무엇보다 세계적으로 인터넷을 연결하기 위해서 필요한 인프라를 구축하는데 천문학적인 자원이 소모되기 때문에 이미 세계적으로 구축되어 있는 전화 기기 인프라를 활용하기로 했다. 이때 사용되는 장치가 바로 모뎀이다.

모뎀으로 전화 기기 네트워크를 사용하게 됨으로써 라우터가 하는 역할을 전화 통신 업체가 맡게 되었는데 이 업체들이 인터넷 서비스 제공 업체(ISP)로 발전하게 되어 오늘날과 같은 네트워크가 구축되게 되었다.
