☁️ Direct3D 12 graphics Pipeline
- 아래와 같은 구조의 pipeline을 통해 GPU는 rendering을 한다.
- 전체 pipeline을 frame 마다 수행
- 한 스테이지의 output은 다음 stage의 input이 된다.
- Shader : program
- Input assembler, Tessellator, Rasterizer, Output merger : hard-wired(역할, 목적이 고정되어있는) stage이다. 고정된 함수만 사용하여 일을 수행

produce primitives or patches

- user-specified buffer(vertex, index buffer)에서 vertex 정보를 read한다.
- vertex 정보들을 primitive(도형 - 삼각형, 선 등) 단위로 묶는 역할을 한다.
- user들은 primitive type를 정할 수 있다. IASetPrimitiveTopolgy(data를 어떻게 자를 건지)를 이용.
🔎 용어
primitive = basic shapes (triangles, lines, points)
view = 구조체
☁️ Vertex Shader
🔎 Shader
- 프로그래밍 가능한 영역 (programmable)
- floating point 연산이 배우 빠르다
- 특정 program guideline(ex. input output structure)에 맞게 디자인 되어야 함.
- 5 type 있음 (Vertex, Hull, Domain, Geometry, Pixel )
- vertex shader : 생략 불가능
- pixel shader : 생략 가능
- DirectX : HLSL / OpenGL : GLSL
🔎 Vertex Shader
- Input : vertex specifications
- vertex specifications : input-assembler에서 vertex,index buffer를 통해 제공된다.
- 각 vertex 마다 한번씩 동작한다.
- 보통 input vetex들의 최종 position을 계산하는데 사용된다.
- GPU는 for문이 안좋다 - dependancy 때문에 성능이 저하될 수 있음

- Vertex 위치 정보 변환 과정


🔎 Spaces
📁 Object space
- 오브젝트 내에서의 위치
- 오브젝트에 따라 axes가 바뀐다
- = model space
📁 World space
📁 Camera space
- Camera를 중점으로 한 상대좌표
- world space coordinate가 target camera를 기준으로 다시 계산된다.
- = eye space
📁 Clip space
- camera space에서 projection transform을 한 것
- 오브젝트 각각의 object space에 정의되어있는 것들을 world space로 옮겨준다.
- World Matrix = [L∣t]
- L = combined linear transform
- t = combined translation

📁 Object Space vs World Space
- object space는 model들 끼리는 no relationship
- World transform : 모든 model들을 assemble -> 하나의 coordinate system으로 합치는 것

📁 Vertex Normal
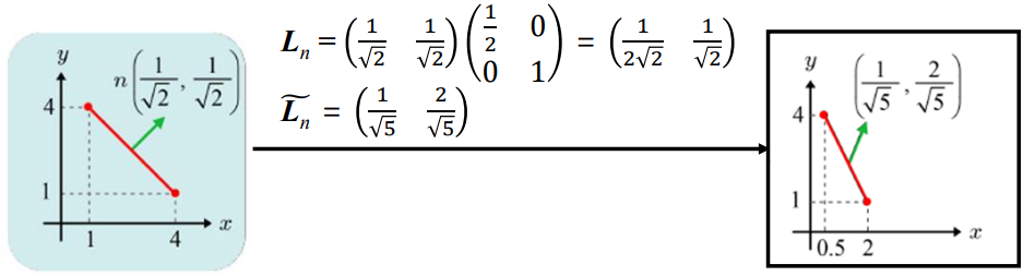
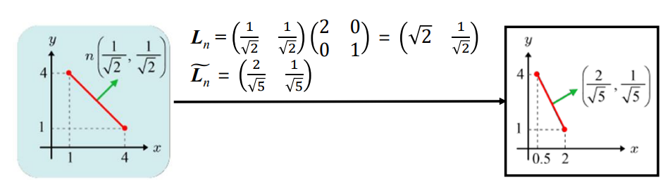
[L∣t] 에서 L에만 영향을 받는다.
if L이 non-uniform scaling을 포함한다면 surface normal에는 적용이 되지 않을 수도 있다.
아래처럼 normal이 이상한 것을 볼 수 있음

대신, L의 inverse transpose (L−1)T 를 쓰자.
L이 non-uniform scaling을 갖고있던 말던 그냥 L^-T를 쓰자.


📁 Camera pose specification
- EYE : camera position
- AT : camera가 aimed 중인 point
- UP : camera의 위를 가리키는 vector (일반적으로 vertical axis, y axis로 set)
- 카메라의 좌표계
u,v,n은 서로 직교하며 크기가 1이다
-
EYE를 world space의 원점으로 translation

-
Rotation

-
결론
M = view Matrix

🔎 CPU vs GPU
CPU : int연산이 빠르다
GPU : floating point 연산이 빠르다. 벡터 계산에 유리