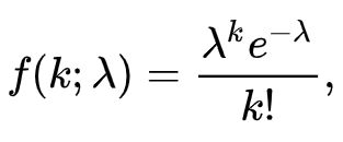
포아송 분포
Number of event occurrences in a time interval
일정시간(단위시간)동안 이벤트 발생 횟수
정해진 시간 안에 어떤 사건이 일어날 횟수에 대한 기댓값을 λ라고 할 때 그 사건이 k회 일어날 확률

우리는 파라미터 λ를 구하는 것이 목표
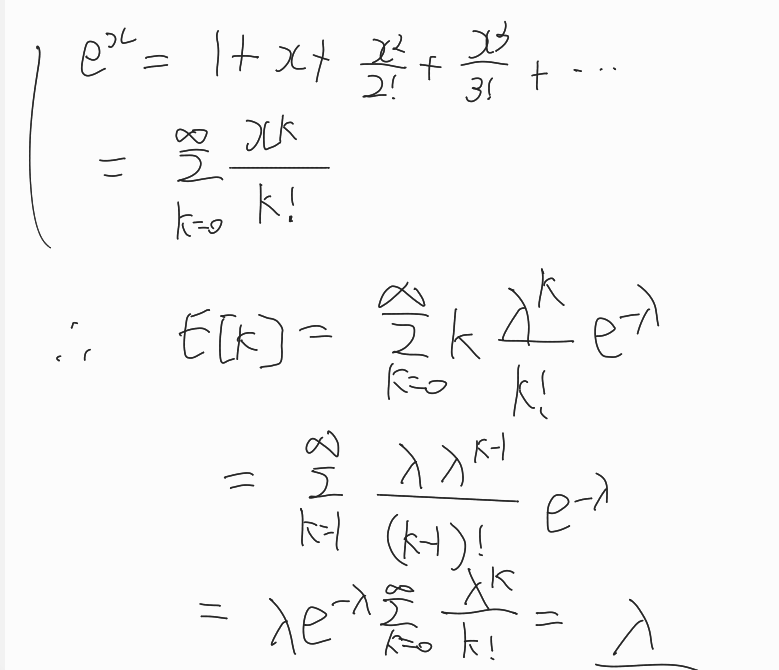
e^x 테일러 급수를 이용하여 구한다.

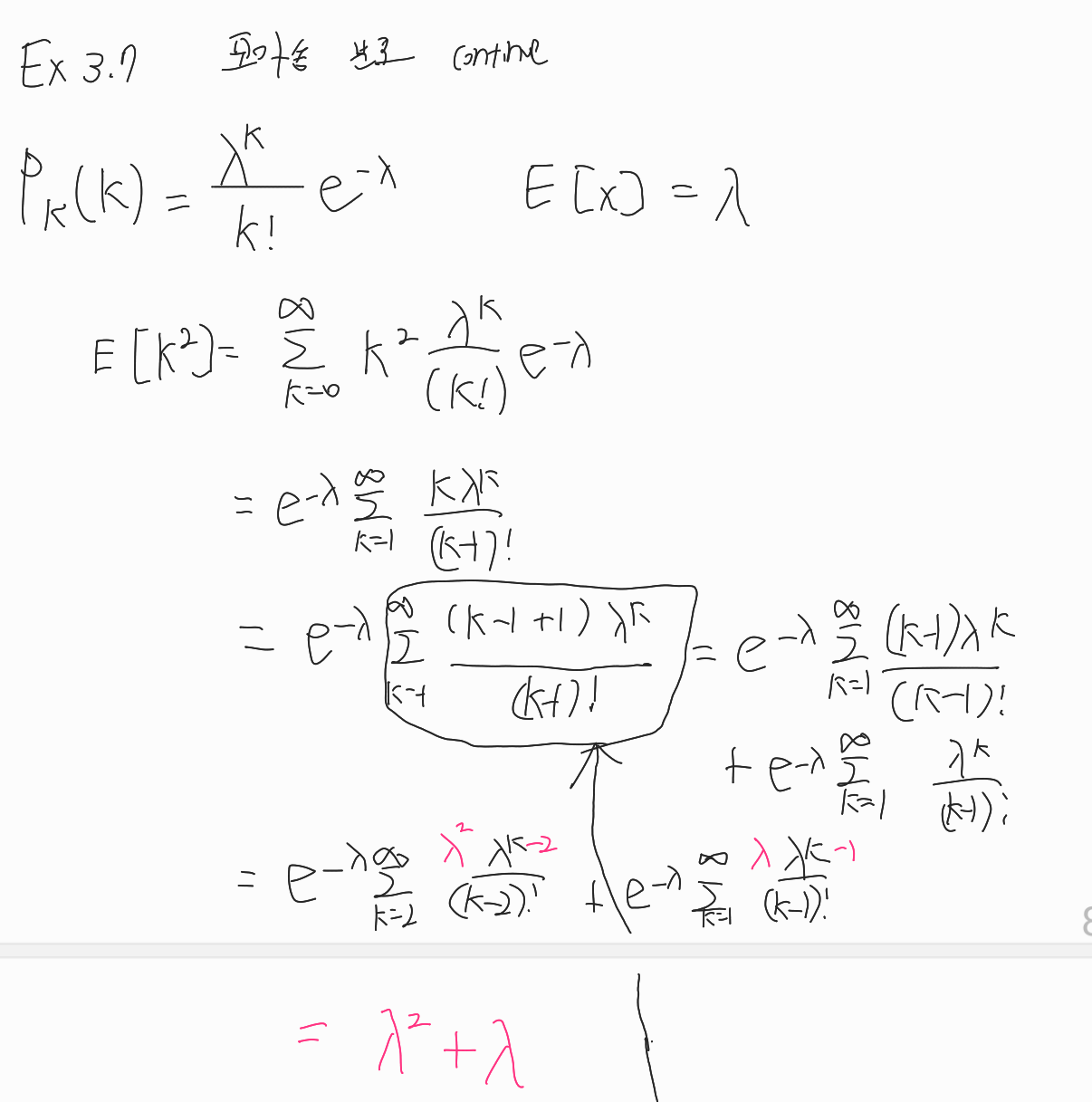
먼저 E[K^2]을 구한다.

그 다음, 분산을 구한다.

일정시간 은행에 오는 고객의 수,
일정시간 발생하는 불량의 수 등등..
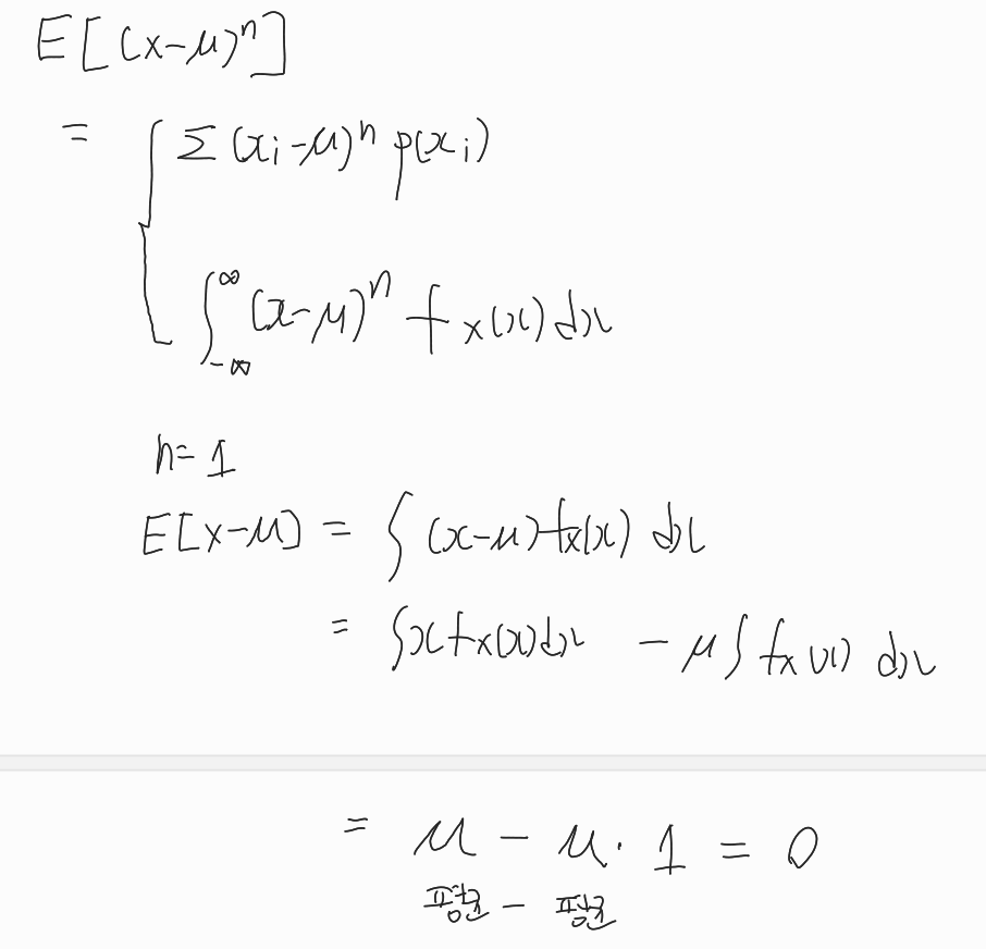
확률 모멘트(확률 적률)란?
확률분포의 분포 특성에 따라 그 대표값이 정해지도록 일반화시킨 통계량 표현
모멘트(적률)의 차수
Moment about origin
원점 기준으로한 모멘트
차수가 1일 때 기댓값과 같다.
차수가 1일 경우

차수가 1인 경우 평균값을 기준으로 하면 평균-평균이므로 당연히 0이 나옴
차수가 2인 경우
분산이다.
출처: http://www.ktword.co.kr/test/view/view.php?m_temp1=5121
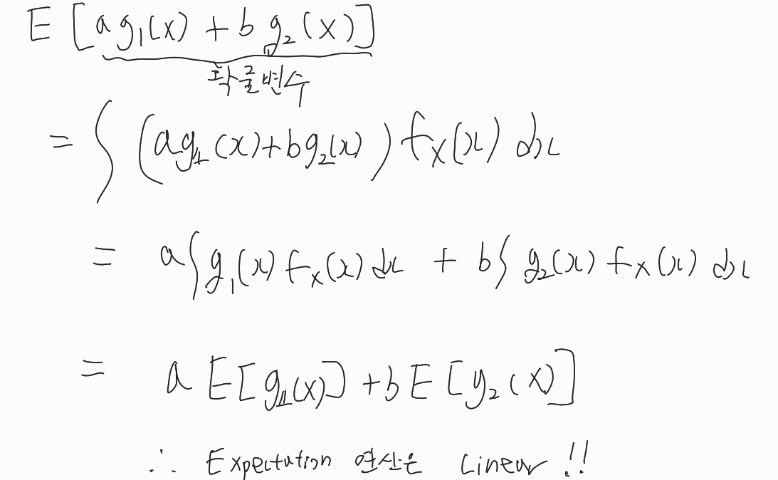
Expectation은 Linearity를 가진다.

