
📕 유데미 강의, "The Complete Electronics Course: Analog Hardware Design" 를 보고 정리한 글입니다. (강력 추천). 실습으로는 falstad 라는 간단한 시뮬레이터를 사용합니다.
커패시터의 특별한 점은 에너지를 저장하는 능력입니다. 어떻게 보면 배터리와 비슷하기도 합니다. 비록 작동 방식은 완전히 다르지만요.

배터리는 화학물질을 사용해서 전기 에너지를 저장하고 회로를 통해 아주 천천히 방출해요. 반면에 커패시터는 에너지를 훨씬 빨리 방출합니다. 몇 초나 그 이하의 시간에요. 잠시 충전하는 용도로 쓰이는 거죠.
커패시턴스(Capacitance) 는 커패시터가 얼마나 많은 전하를 저장할 수 있는지를 나타냅니다. 그리고 용량을 나타내는 단위는 F(패럿)이죠. 일반적으로 µF 단위가 가장 많이 쓰입니다.
커패시터를 결정할 때 고려해야 할 몇 가지 요소가 있습니다.
아래 그림은 등가직렬저항을 나타냅니다. 중간에는 누설전류가 흐를 수 있는 저항(IR)도 있네요.

이제 커패시터 종류에 대해 알아봅시다. 먼저 극성이 있는 것(polarized)과 극성이 없는 것(non-polarized) 여부를 구분하길 바랍니다.


극성이 없는 커패시터부터 살펴보겠습니다.
먼저 세라믹 커패시터에요. 이름은 유전체(절연체)가 만들어진 재료에서 따온 것입니다. 세라믹은 비극성(non-polar) 재료이기 때문에 극성이 없습니다. 물리적으로도 작습니다. 보통 10uF 보다 큰걸 찾기 어렵습니다. 세라믹은 거의 이상적인 커패시터에 가깝습니다(훨씬 낮은 ESR과 누설 전류). 하지만 작은 용량이 제한적일 수 있죠. 이 문제를 해결하기 위해 적층형 커패시터(MLCC)가 있습니다.
이 커패시터는 ESR(등가 직렬 저항)이 낮아서 고주파 특성이 좋기 때문에 고주파 필터와 디커플링(Decoupling) 용도로 적합합니다.

이제 극성이 있는 커패시터를 알아보겠습니다.
(알루미늄) 전해 커패시터는 극성이 있어요. 따라서 극성을 잘 구분해줘야 됩니다. 전해 커패시터는 상대적으로 작은 부피에 많은 용량을 담을 수 있어요. 1μF~1mF 범위의 커패시터가 필요하다면, 전해 커패시터 형태로 찾을 가능성이 높습니다. 상대적으로 높은 최대 정격 전압 때문에 고전압 용도에 특히 잘 맞습니다. 가격이 저렴합니다.
전해 커패시터는 누설로도 악명이 높습니다. 유전체를 통해 한 단자에서 다른 단자로 소량의 전류(nA 단위)가 흐르는 것을 허용하죠. 대부분의 용도에서는 nA 수준이라 무시할 수 있지만, 초정밀 회로나 장기간 전력 저장이 필요한 곳에서는 고려해야 합니다.

ESR가 크고, 주파수 특성이 떨어져 고주파 특성이 나쁩니다. 주로 전원 필터링(AC를 DC로 정류한 뒤 리플 제거), 저주파 신호 커플링에 사용됩니다.

탄탈 커패시터(Tantalum Capacitor) 는 앞서 전해 커패시터와 유사한 용도로 사용됩니다. 작은 크기에서 큰 용량이 가능합니다. 상대적으로 내전압이 낮기 때문에 과전압에 주의해야 합니다. ESR이 전해보다 낮아서 주파수 특성이 좋습니다.

그 외에도 필름 커패시터, 슈퍼 커패시터 등이 있습니다. 필름 커패시터는 ESR 이 적어서 높은 전류에 잘 대처합니다. 슈퍼 커패시터는 엄청난 양의 전하를 저장할 수 있지만 고압을 감당하지 못해요. 이것의 주된 기능은 저장과 방출입니다. 배터리처럼요.
위 내용을 표로 정리해서 비교하면 다음과 같습니다.
| 분류 | 유전체 재료 | 극성 (Polarity) | 특징 | 주요 용도 |
|---|---|---|---|---|
| 세라믹 | 세라믹 (Ceramic) | 없음 (무극성) | 가격이 저렴하고 크기가 작음. 높은 주파수 특성이 우수함. | 고주파 회로, 디커플링(잡음 제거), 바이패스 필터 |
| 전해 (알루미늄) | 산화 알루미늄 (Alumina) | 있음 (유극성) | 용량 대비 크기가 매우 작고 가격이 저렴함. 누설 전류 및 수명이 비교적 짧음. | 저주파 평활(Smoothing) 회로(SMPS 출력), 전원 필터링, 대용량 에너지 저장, 커플링 |
| 탄탈 | 산화 탄탈 (Tantalum Pentoxide) | 있음 (유극성) | 전해 콘덴서보다 ESR, ESL이 낮고 온도 안정성이 좋음. 단위 부피당 용량이 큼. 과전압에 취약함. | 휴대용 기기, 모바일 장비의 평활 및 노이즈 제거 |
| 필름 | 플라스틱 필름 (폴리에스터, 폴리프로필렌 등) | 없음 (무극성) | 온도 안정성과 정밀도가 매우 우수함. ESR, ESL이 낮음. | 정밀 필터 회로, 오디오 회로, 타이밍 회로 |
직류 회로에서 커패시터는 공급 전압으로 충전되지만 전류의 흐름을 차단합니다.
커패시터는 비전도성이고 절연체이기 때문이죠. 전류가 커패시터에 흐르면 전하가 판에 들러붙어요. 그리고 빠져나가지 못하게 서로 끌어당깁니다. 그게 반대 전하의 역할이죠.
커패시터가 충전되면 전기장을 유지하면서 전하를 유지합니다. 여기서 커패시터의 축적량이 중요한 역할을 합니다. 용량이 클수록 충전이 더 오래 걸린다는 걸 암시하죠. 커패시터에 저장된 에너지로 LED를 잠시 밝힐 수 있습니다.
아래 회로의 시뮬레이션을 한번 돌려볼까요?

커패시터가 충전되면 전압이 전압 공급원과 일치해집니다 (초록색 선). 커패시터로 흐르는 전류는 급감하죠 (노란색 선). 이후에는 전류가 흐르지 않습니다.

커패시터를 방전시키면 어떻게 될까요? 한가지 특이한 점은 충전되는 방향과 방전되는 방향의 전류가 반대라는 거에요. 사실 당연하죠. 충전될때는 위쪽이 (+), 아래쪽이 (-)이고, 방전되면 (+)에서 (-)로 흘러가니까요.

스위치를 반대로 돌리는 순간, 커패시터 충전된 전압이 급격히 떨어지기 시작하죠. 전류 또한 반대 방향으로 빠르게 흐르다가 급격히 느려지는 모습입니다.

위 회로에서 저항을 단 이유는 뭘까요? 저항은 전류를 제한하기 위해 필요합니다. 저항없이 그냥 연결하면 전류가 무한대로 흐르죠. 사실 내부 저항이 있긴 합니다. 무한한 전류는 아니긴 하죠. 하지만 상대적으로 높은 양의 전류로 충전하면 파괴 됩니다.
커패시터에 흐르는 전압과 전류는 어떻게 계산할까요?
커패시터의 용량(커패시턴스)는 얼마나 큰 패럿을 가지는지에 따라 얼마나 많은 전하를 저장할 수 있는지 알려줍니다. 커패시터가 현재 저장하고 있는 전하의 양은 극판 사이의 전위차(전압)에 달려 있습니다.

Q = CV. 커패시터에 저장된 전하(Q)는 용량(C)과 가해진 전압(V)의 곱입니다. 즉, 1 패럿(F)은 1 볼트당 1 쿨롱의 에너지를 저장할 수 있는 용량입니다.
비유하자면 커패시터는 물통이고요, 용량(C)는 물통 크기에요. 전압(V)는 물의 압력이고, 전하(Q)는 실제 들어있는 물의 양입니다. 물통 크기가 크고 물의 압력이 세면 물통에 물이 많이 저장되겠죠?
전류는 전하의 흐름 속도입니다. 커패시터를 통과하는 전류의 양은 커패시턴스(용량)과 전압이 상승하거나 하강하는 속도, 두 가지 영향을 받습니다.

첫번째 그림은 전압이 일정할 때, 전류는 변함 없음을 보여줍니다.
두번째 그림은 전압이 천천이 상승할 때, 전류는 작지만 일정하게 흐른다는 걸 볼 수 있네요.
세번째 그림은 전압이 느리게 상승했다가 빠르게 상승했다가 하네요. 그에 맞춰서 전류가 천천히 흐르다 빠르게 흐르다 합니다.
여기서 핵심은 커패시터에서 전류는 전압의 변화율에 비례한다는 거죠. 공식은 아래와 같습니다.

dV/dt: 전압 변화율. 이 방정식은 전압이 늘거나 줄어들때 적용됩니다. 시간에 따라 순간적으로 변한다는 뜻이죠. 즉, DC에서는 흐르지 않아요. 변하지 않으니까요. 이것은 중요한 개념입니다.

직류회로에서 커패시터가 연결되면 커패시터가 공급 전압으로 충전되기 시작합니다. 반대로 전류는 감소하죠. 그러다가 충전이 다 되면 전류는 더 이상 흐르지 않습니다.

교류회로에서는 계속 충전과 방전을 반복합니다. 전류가 통과해요.

이때, 전압과 전류 그래프를 보면 "Voltage lags current by 90° in phase (전압이 전류보다 90도 위상 지연)" 혹은 "Current leads voltage by 90° in phase (전류가 전압보다 90도 앞선다)" 라고 표현합니다.
커패시터는 전압 변화에 즉시 반응하기 때문에 전압이 바뀌기 시작하면 전류가 먼저 흐릅니다. (아하)
반면, 저항을 생각해보면 위상차가 전혀 없죠. 전류와 전압이 직접 비례합니다.

외우기 쉽게 비유하자면 저항은 정직한 거 같고, 커패시터는 얍삽 빠른 캐릭터인 거 같네요.
시뮬레이터를 돌려 보면 이런 사실을 직관적으로 명확히 알 수 있습니다. (초록색은 전압, 노란색은 전류)

이번에는 커패시터의 impedance와 reactance 대해 알아보겠습니다.
용량성 리액턴스(Capacitive Reactance, Xc)는 커패시터가 교류(AC) 회로에서 전류의 흐름을 방해하는 순수한 저항 성분을 의미합니다. 저항과 같은 단위인 옴으로 측정됩니다. Xc는 공급 주파수(f)에 따라 달라집니다. 변화가 생기는거죠.

저항을 옴으로 측정하는 것과 마찬가지로 리액턴스가 높을수록 낮은 전류가 흐릅니다.

여기서 중요한 점은 커패시터에서 리액턴스는 주파수(f)와 커패시턴스(C)에 따라 바뀐다는 것입니다. 주파수(f)가 높아질수록 리액턴스가 작아지므로 같은 전압에서 더 많은 전류가 흐릅니다. 즉, 전류는 주파수에 비례합니다.

이러한 특징은 주파수가 높아질수록 커패시터가 전하를 저장하고 방출하는 속도가 빨라져 방해 정도가 줄어들기 때문에 그렇습니다. (리액턴스가 감소)
주파수가 0이면 직류라는 걸 의미해요. 그러면 커패시터는 개방 회로 역할을 하죠. 리액턴스가 무한하니까요. (오... 그렇겠구만)

간단하게 문제를 풀어보죠. 1kHz와 20kHz일 때, 200nF 커패시터의 리액턴스는 얼마인가요?


계산해보면 1 kHz에서 약 796 Ω, 20 kHz에서 약 39.8 Ω 이라는 리액턴스가 나옵니다. 보시다시피, 주파수가 올라갈수록 커패시터의 리액턴스는 확 줄어듭니다.
시뮬레이터를 돌려보세요. 용량이 같은 커패시터에서 주파수만 다르게 해봤습니다. 전류량을 보시면 주파수가 높을수록 더 많이 흐른다는 걸 알 수 있습니다.

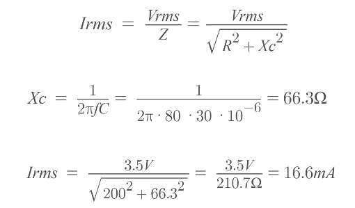
자, 그러면 아래와 같은 회로(5V 80Hz 전압원)에서 Irms 를 한번 구해볼까요?
🎯 참고. 실효값(RMS, Root Mean Square) 개념
교류 전압과 전류는 시간에 따라 크기가 계속 변합니다. 실효값(RMS)은 이 교류 신호가 직류(DC) 신호와 동일한 전력(열)을 발생시킬 때의 등가적인 크기를 나타냅니다.

Irms를 계산할 수 있는 방정식은 아래와 같습니다. 옴의 법칙에 따르면 전압을 저항으로 나눈 값이 전류와 같다는 사실을 알 수 있습니다. 짐작하셨겠지만 임피던스는 옴으로 측정됩니다.
그리고 Vrms는 0.7 x Vpeak 입니다. 참고로 0.7은 1/√2 ≈ 0.707이며, 정현파 신호를 한 주기 동안 제곱하고 평균 낸 후 제곱근을 취하는 RMS 계산에서 나옵니다.

임피던스는 교류 회로에서 전류의 흐름을 방해하는 총 저항을 의미합니다. 단순히 저항뿐만 아니라 커패시터와 인덕터의 영향을 모두 포함하는 복소수 값입니다.
DC 회로에서는 "임피던스 = 저항"이지만, AC 회로에서는 커패시터와 인덕터가 주파수에 따라 다른 임피던스를 나타내므로 전체 회로 해석이 복잡해집니다. 따라서 단순히 Z = R + Xc 가 아닙니다.

대신 벡터로 추가해야 합니다. Z = R + jX (복소수 형태)... |Z| = √(R² + X²) (크기)

따라서 Irms 는 다음과 같이 구할 수 있습니다.

해당 AC 회로는 DC에서의 16.6mA 와 동일한 효과라는 것을 알 수 있습니다. 시뮬레이터에서 RMS를 확인한 값과 일치한다는 것을 알 수 있습니다. (오호 거의 비슷하게 나오네요)

참고로, 주파수가 같고 커패시터 용량이 다르면 어떻게 되는지 시뮬레이션한 결과입니다. 당연하게도 용량이 클수록 많은 전하를 저장할 수 있기 때문에 전압이 더 높을 겁니다. 전류의 흐름도 크죠.

커패시터의 유명한 용도는 커플링과 디커플링입니다. 지금까지 알아본 바로는 커패시터는 교류 신호를 전달하고 직류 신호를 막는다는 거죠. 커플링 커패시터는 교류 신호만 출력되길 바라는 여러 회로에 유용합니다.
💻 이미지 참고. Learning about Electronics > What-is-a-coupling-capacitor

🤔 커패시터에서 커플링과 디커플링은 다른 개념인가요?
네. 다릅니다. 두 개념 모두 커패시터의 주파수 특성을 활용하지만, 그 목적과 작동 원리가 다릅니다.
커플링(Coupling, 결합) 커패시터는 한 회로 단계의 신호를 다음 단계로 전달하는 역할을 하며, 이때 직류(DC) 성분은 차단하고 교류(AC) 신호(정보)만 통과시키는 데 사용됩니다.
디커플링(Decoupling, 분리 또는 우회) 커패시터는 주로 전원 공급 라인의 노이즈를 제거하고 회로의 특정 지점에 순간적인 전류를 공급하는 데 사용됩니다.
요약하자면, 커플링은 원하는 신호(AC)를 "통과시키는" 역할이고, 디커플링은 원치 않는 노이즈(AC)를 "접지로 우회시키는" 역할입니다.
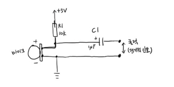
예를 들어 커패시터는 마이크 같은 오디오 회로에서 사용합니다.

커플링 커패시터 C1 는 DC 차단, AC 통과 특성을 가지므로 마이크에 필요한 5V 직류 전원은 공급하면서도, 마이크가 출력하는 오디오 신호(20Hz~20kHz AC)만 다음 단계로 전달할 수 있습니다.
커패시터의 임피던스(Xc)는 주파수(f)에 반비례하다고 설명했던 거 기억하시죠?


만약 커플링 커패시터가 없다면 DC 성분이 섞여서 다음 단계 회로에 악영향을 주거나, 앰프의 바이어스 포인트가 틀어져서 신호 왜곡이 발생할 수 있습니다.
🤔 회로에서 R1 사용 이유, 그 중에서도 10kΩ을 사용한 이유는 뭘까?
회로에서 R1을 사용하는 이유는 마이크(특히 콘덴서 마이크)에 안정적인 직류(DC) 전압을 공급하여 마이크를 작동시키는 바이어스(Bias) 역할을 하며, 동시에 풀업 저항(Pull-up Resistor)의 기능을 수행하기 위해서입니다.
마이크는 음성 신호(AC)가 입력되면 내부 FET의 저항을 변화시킵니다. R1은 항상 5V 전원에 연결되어있습니다. 마이크의 저항이 변하면, 옴의 법칙에 따라 R1 양단에 걸리는 전압 강하가 변하게 됩니다.
따라서 소리가 없으면 마이크는 일정한 DC 바이어스 전압을 유지했다가 소리가 들어오면 마이크의 내부 저항이 음성 신호에 맞춰 미세하게 변하고, 이 변화가 R1의 걸리는 전압의 변화로 나타나는거죠.
🤔 그런데 왜 여기서는 극성 커패시터를 사용했을까요?
전해질 커패시터(극성)를 사용하는 이유는 큰 용량을 작은 크기로 구현할 수 있기 때문입니다.
여기서 커패시터는 1μF 를 사용했습니다. 마이크의 출력 신호는 20-20KHz 이기 때문에 주파수 범위에 맞는 커패시터를 선택해야 합니다. 1kHz에서 Xc를 계산해보면 159옴이 나옵니다. 20kHz에서는 8옴이 나옵니다.
만약 극성이 아닌 커패시터 100nF 를 사용하면 어떨까요? 1kHz일 때 Xc가 무려 1591 옴이 나옵니다. 신호가 꽤 많이 약해질 거에요.

참고로, 위 회로에서 출력을 증폭기와 연결할 수 있어요. 증폭기가 신호를 증폭하면 더 큰 스피커를 작동시킬 수 있어요.
디커플링 커패시터 혹은 바이패스 커패시터에 대해 알아봅시다.
🤔 근데 디커플링 커패시터, 바이패스 커패시터 혹시 용어 차이가 있나요?
디커플링 커패시터(Decoupling Capacitor)와 바이패스 커패시터(Bypass Capacitor)는 실제로는 같은 부품을 가리키며, 그 이름은 커패시터가 수행하는 역할과 기능에 따라 다르게 불리는 것입니다.
두 용어는 동일한 물리적 부품이 수행하는 기능의 다른 측면을 강조할 뿐입니다. 관점에 따라서는 노이즈를 우회시킨다고 볼 수도 있고요. 전체 회로 블록 간의 간섭을 분리한다고도 볼 수 있죠.
일반적으로는 IC 칩의 전원 핀 바로 옆에 배치하는 작은 용량의 세라믹 커패시터를 바이패스 커패시터라고 부르는 경우가 많으며, 좀 더 큰 용량으로 전원 공급 장치와 회로 전반의 노이즈를 관리하는 커패시터를 포괄적으로 디커플링 커패시터라고 부르기도 합니다. 하지만 기능적으로는 동의어처럼 사용됩니다.

교류가 통과하는 동안 커패시터를 연결(분리)해서 교류를 차단하면 교류를 제거하면서 순수한 직류를 만듭니다. DC 파워 소스에서 노이즈를 없애기 위해 많이 사용되는 구성 방법입니다.
완벽한 세상이라면 직류 전원을 사용하면 잡음이 없는 완벽한 직류 신호일거에요. 하지만 현실은 그렇지 않습니다. 노이즈가 발생합니다. 신호는 보통 불안정해요.
우리가 하려는 건 직류 신호로부터 오는 신호에서 소음을 분리해서 훨씬 더 깨끗한 직류 신호를 얻는거에요. 커패시터는 전원 장치와 병렬로 연결돼 있어요. 아주 간단한 회로에요.

직류 신호는 커패시터에 의해 그라운드에 닿지 않아요. Xc가 무한대이기 때문이죠. 하지만 교류는 통과시키죠. 그라운드에 닿습니다. 지면에 연결되어 사라집니다.
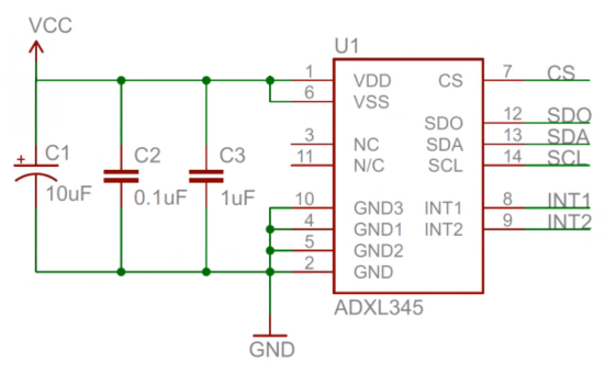
이제 좀 더 현실적인 예시를 들어보죠. 회로 예시에서 커패시터 3개를 병렬로 분리해서 미세한 전압과 교류 노이즈를 제거합니다.

근데 왜 3개를 따로 연결한걸까요? 일단, 여러 개의 커패시터를 병렬로 배치하면 다양한 값과 다양한 커패시터를 사용할 수 있습니다. 또 다른 이유로는 서로 다른 주파수 대역의 노이즈를 효과적으로 제거할 수 있기 때문입니다. 밑에서 자세히 살펴볼 예정입니다.
바이패스가 뭔가요? 이상적인 경우 사실 우회로가 필요 없어요. 불행히도 현실 세계에서는 모든 것에 저항이 있어요.

스위칭 IC는 전력 변환을 위해 고속으로 ON/OFF를 반복하는 집적회로로, 입력 전압을 다른 전압으로 효율적으로 변환하는 스위칭 모드 전원공급장치(SMPS)의 핵심 부품입니다.
PWM(Pulse Width Modulation) 방식으로 스위치를 제어하여 DC-DC 변환(12V→5V), AC-DC 변환(220V→12V) 등을 수행하며, 선형 레귤레이터 대비 85-95%의 높은 효율과 적은 발열을 제공합니다.
위 스위칭 IC 회로의 동작을 먼저 살펴보겠습니다.
핵심: PWM 제어 → MOSFET 스위칭 → 평균 전압 조절로 고효율 전력 변환!
위 회로에서 Switching IC 에서는 정상적인 파형이 나타납니다. 하지만 5V 전압이 공급되면서 잡음이 생깁니다. 배터리 내부 저항 혹은 연결선에서의 저항에 의해 잡음이 생길 수 있죠.

MOSFET이 켜질 때 부하(Load)가 순간적으로 많은 전류를 끌어당깁니다. 전원(5V 배터리)에서 칩까지의 트레이스에는 기생 인덕턴스(Inductance)가 있어, 이 급격한 전류 변화()는 전원 전압()을 순간적으로 떨어뜨립니다. 디커플링 커패시터는 이 전압 변동을 흡수하고 IC에 즉시 에너지를 공급하여 안정적인 전압을 유지합니다.
또한, 스위칭 과정 자체에서 높은 주파수의 노이즈가 발생합니다. 커패시터는 이 고주파 노이즈를 낮은 임피던스로 보고 접지(Ground)로 우회(Bypass)시켜 제거합니다.

핵심: 전원 라인 저항 + 스위칭 전류 변화 = 노이즈 발생 → 바이패스 커패시터로 해결
바이패스 커패시터는 소규모 지역 전력 공급원 역할을 합니다. 전력 공급원이 일시적으로 문제가 생기면 콘덴서가 공급해줍니다. 일시적으로 전력 공급원을 우회해 전력원 역할을 할 수 있죠.
이상적인 커패시터는 없어요. 실제 커패시터는 저항력이 있어요. ESR이죠. 그리고 XL(ESL)도 있어요.

이처럼 진짜 커패시터는 이상적인 커패시터와는 거리가 멀죠. 이런 회로를 우리는 RLC 라고 불러요. 유도성 리액턴스(XL)는 주파수에 따라 증가하죠. 용량성 리액턴스(Xc)와는 반대에요.

와 을 주파수에 따라 비교하면 다음과 같은 그래프가 나와요.
💻 이미지 출처: https://m.blog.naver.com/lagrange0115/222077677144

커패시터의 총 임피던스라고 하면 다음과 같습니다. 이게 진짜 커패시터의 저항력이에요.

주파수에 따른 커패시터의 총 임피던스 변화를 그래프로 보면 다음과 같습니다.
💻 이미지 출처: https://techweb.rohm.com/product/circuit-design/nowisee/7549/

이 그래프를 보면 모양이 특이하죠. 원래는 주파수가 증가하면 저항이 감소할 거라 생각했는데, 중간지점에서부터 오히려 올라갑니다. 이게 다 성분 때문이에요.
그리고 저 중간 지점에서의 주파수를 우리는 공진 주파수라고 부릅니다. 이 동일한 경우에요.
실용적인 의미에서 보면 디커플링 효과는 공진 주파수에서 최대가 됩니다. 공진 주파수에서 임피던스가 최소가 되기 때문이죠. 따라서 목표 주파수 대역에 맞는 커패시터 선택이 중요합니다. 공진 주파수를 넘어가는 고주파에서는 디커플링이 제대로 안되겠죠?
자, 다시 돌아가서 아래처럼 디커플링 커패시터를 여러개 병렬로 연결하는 이유를 살펴보자고요.

커패시터를 여러개 연결하는거는 더 큰 주파수 범위에서 더 효과적인 처리를 하기 위해서입니다.
작은 커패시터는 높은 공진 주파수, 고주파 디커플링이 가능하고요. 큰 커패시터는 낮은 공진 주파수, 저주파 디커플링이 가능합니다.

따라서 여러 값의 커패시터를 병렬로 사용하여 넓은 주파수 대역 커버할 수 있는 거에요.

커패시터는 전력 공급 회로에서 자주 사용됩니다. 교류 신호를 직류 신호로 변환하려는 경우 사용하죠. 직류 전압은 일정해야 해요. 커패시터가 요동치는 신호를 안정적으로 만들 수 있어요. 전압을 더 부드럽게 하려면 커패시터의 용량을 더 높여야 합니다.
💻 이미지 출처: World Electric Vehicle Journal (WEVJ)

시뮬레이션을 돌려보면 명확히 알 수 있습니다. 먼저 다이오드와 저항만 있는 경우입니다.

교류신호에서 음극(-) 영역이 완전히 제거되었습니다. 다이오드가 전류를 한 방향으로만 제어하기 때문이죠. 또한, 다이오드 임계 전압 0.6V로 인해 5V보다 전압이 떨어진 것을 알 수 있죠.
여기서 좀 더 전압 변동을 없애고 DC 신호처럼 Smoothing (평활) 작업을 해주고 싶습니다. 이 경우 커패시터를 사용하면 됩니다.

이 회로는 한계가 있습니다. 실제 상황에서는 커패시터가 전압을 안정적으로 제공하지 못합니다. 왜냐하면 부하저항에 따라 전압은 달라지기 때문이죠. 전압이 조절되지 않습니다. 실제로는 출력을 최대한 일정하게 유지하는 전력원(레귤레이터) 이 필요합니다. 입력 임피던스와 관계없이요. 나중에 배울거에요.
💻 이미지 출처: https://courses.ece.ucsb.edu/ECE002/2B_Su08Shynk/Lab2.pdf

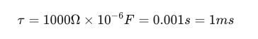
RC 시정수 (Time Constant, )는 저항(R)과 커패시터(C)로 구성된 회로에서 전압 또는 전류가 변하는 속도를 나타내는 중요한 시간 단위입니다. 이는 회로가 외부의 변화(전원 연결/차단)에 얼마나 빠르게 또는 느리게 반응하는지를 결정합니다.
RC 직렬 회로에서 시정수는 저항값과 커패시터값의 곱으로 정의됩니다.

주의할 점은, RC 시정수(, 타우)는 커패시터가 완전히 충전되거나 방전되는 데 걸리는 총 시간이 아니라, 최종 값의 약 63.2%에 도달하는 데 걸리는 시간입니다.
예를 들어, R = 1kΩ 이고 C = 1uF 라면 시정수 는 다음과 같습니다.

RC 시정수는 커패시터의 충전 및 방전 곡선에서 기준점이 됩니다.
충전(Charging): 커패시터는 전원에 연결된 후 초가 지날 때마다 전압이 최종 전압에 점점 더 가까워지며 충전됩니다.

방전(Discharging): 커패시터는 전원에서 분리되어 저항을 통해 방전될 때, 초가 지날 때마다 전압이 초기 전압의 약 36.8%(100% - 63.2%) 수준으로 떨어집니다.

💻 이미지 출처: http://www.ktword.co.kr/test/view/view.php?no=1568

교류에서 RC 회로는 어떤 영향을 미칠까요? 커패시터를 5T로 충전해야 제대로 충전할 수 있습니다.

5T보다 크면 제대로 충전되고요. 그보다 작으면 커패시터가 받는 전압이 최대 입력 전압보다 낮습니다.

실제로 시뮬레이션 해보면 다음과 같습니다. 50% 듀티 사이클이에요. 보시다시피 출력 전압과 입력 전압이 다릅니다. 커패시터가 완전히 충전되고 방전될 때까지 시간보다 더 짧으니까 변화 속도를 따라갈 수 없어요.

커패시터 용량을 작게 하면 어떨까요? 완전히 충전됐다가 방전되는걸 알 수 있네요.

회로에서 중요한건 필터링이에요. 특정 신호를 걸러낸다는 게 무슨 의미일까요? 노이즈는 도움이 안돼요. 주파수를 알아낸 후에는 노이즈를 상쇄할 필터를 설계할 겁니다. 노이즈는 일반적인 신호보다 주파수가 높습니다.

따라서 로우패스 필터를 사용해서 우리가 필요로 하는 저주파 신호만 통과하게 할 수 있죠.
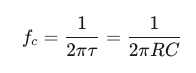
차단 주파수를 계산할 때 f_3db = 1 / (2 pi RC) 공식을 사용합니다. 신호가 70%로 감쇠되는 지점 (-3dB)을 의미합니다.


따라서 걸러내려는 주파수를 알면 차단 주파수를 고르고 RC를 결정하면 됩니다.
첫번째는 시간 지연 회로(Time Delay Circuit)입니다. CMOS buffers랑 커패시터를 사용합니다.
CMOS 버퍼는 입력 임피던스 수치가 높아요. 출력 임피던스는 낮습니다.
이미지 출처: http://the-epic-file.com/text/bookz/aoe_3/ch_01/aoe3_01_04.htm


상승 지연 동작 과정
하강 지연 동작 과정
τ = R×C = 15kΩ×1000pF = 15μs 로 시정수를 계산할 수 있고요. 실제 지연 시간은 10μs가 되겠네요.

이 회로는 마이크로초 단위의 짧은 지연이 필요한 디지털 회로에서 매우 유용합니다. 예를 들면, 디바운싱 (스위치 채터링 제거), 타이밍 조정(신호 동기화) 등등...
두번째는 One Minute Power 회로입니다. 여기서 아셔야 할 건 741 OP-AMP 증폭기입니다.
이미지 출처: http://the-epic-file.com/text/bookz/aoe_3/ch_01/aoe3_01_04.htm

OP-AMP의 역할은 나중에 배우겠지만 지금은 다음의 내용만 알면 됩니다.
동작 과정
이 회로에서는 R3와 R4는 전압 분배기 역할을 하고요. 5V × 360k/(620k+360k) = 1.8V 기준 전압을 설정합니다. 참고로, R1은 입력 보호 저항입니다.
τ = RC = 6.2M × 10μF = 62초 정도 나옵니다. 대략 1분 이라고 보면 되겠죠.

이를 이용하면 스위치 한 번으로 1분간 조명 켜짐 (계단 등)에서 자동 소등 목적으로 사용할 수 있겠죠?
개선 버전: 555 타이머 IC를 사용하면 더 정밀하고 안정적인 타이머를 만들 수 있습니다.