
📕 유데미 강의, "The Complete Electronics Course: Analog Hardware Design" 를 보고 정리한 글입니다. (강력 추천)
뉴런은 생각하고 기억하게 해 주는 작은 스위치죠. 이 작은 스위치로 컴퓨터에는 수십억 개의 소형 뇌세포가 있습니다. 트랜지스터라고 하는데 실리콘으로 만들어졌어요. 모래에 많이 들어 있는 화학 물질이죠. 트랜지스터가 전자 제품에 혁명을 일으켰습니다.
하지만 그게 무엇이고 어떻게 작동할까요? 트랜지스터의 기본 아이디어는 한 채널을 통해 흐르는 전류의 강도를 조절할 수 있게 해줍니다. 두 번째 채널을 통해 흐르는 훨씬 작은 전류의 강도를 조절해서요.

트랜지스터를 지렛대라고 생각하세요. 레버는 적은 힘으로 큰 짐을 들어 올리는 장치입니다. 트랜지스터가 하는 일이 그거죠. 작은 전류를 이용해 더 큰 전류를 조종할 수 있죠.
이 사진은 현재 이용 가능한 다양한 트랜지스터들을 보여줍니다. 트랜지스터의 크기와 모양이 다양합니다. 이 트랜지스터의 공통점은 각각 세 개의 단자가 있다는 거죠.

트랜지스터의 기능을 수행하는 장치는 트랜지스터가 나오기 30~40년 전에 이미 존재했던 것으로 진공관이라고 불렸습니다. 하지만 진공관에는 심각한 한계가 많았습니다. 생산 비용이 비쌌죠. 정말 컸어요. 작동하려면 많은 전력이 필요했죠.
트랜지스터가 모든 걸 바꿔놨어요. 진공실에서 가열된 전극 대신 반도체 접합을 이용합니다. 초기 트랜지스터는 작았어요. 작동에 필요한 전력은 거의 필요 없었죠. 진공관보다 열도 적게 발생하고 수명도 휠씬 길어요.
트랜지스터는 종류가 다양해요. 가장 기본적인 건 Bipolar(양극성) Transistor 입니다. 바이폴라 트랜지스터는 가장 이해하기 쉽고 취미로 함께 사용할 가능성이 가장 높은 제품입니다. 그래서 여기서도 바이폴라 트랜지스터에 집중해서 설명합니다.
이제 트랜지스터 내부를 자세히 살펴보죠. 지난 시간에 배웠듯이 다이오드는 가장 단순한 반도체입니다. PN 접합이 만들어진 거죠. 두 개의 반도체가 합쳐진 결합체입니다. 전자가 몇 개 없는 곳에는 양전하가 있고, 다른 곳에는 전자가 몇 개 더 있어요. 그게 음전하죠.
접합은 물길을 막는 벽, 출입구 역할을 합니다. 피어 접합을 통해 전류가 한 방향으로만 흐르게 하는 거죠. 아래 이미지는 다이오드 구조를 보여줍니다.

트랜지스터는 세 개 층의 다이오드 같은 거에요. 그 결과 트랜지스터는 두 곳이 아닌 세 군데로 나뉘죠. 각 지역 간의 인터페이스가 P와 접합부를 형성합니다. (NPN인 경우)

이 그림은 두 가지 공통 트랜지스터의 구조와 개략도 기호를 보여줍니다. 트랜지스터를 만드는 방법은 P 혹은 N 유형의 반도체가 두 종류의 전도체 사이에 끼어 있는거에요. 그 결과 NPN 트랜지스터와 PNP 트랜지스터가 있게 되죠.

각 단말기에는 이름이 붙어있습니다. 컬렉터(Collector), 베이스(Base), 이미터(Emitter) 입니다.
먼저, 컬렉터가 있어요. 반도체 지역 중 가장 큰 곳에 붙어 있어요. 전류는 컬렉터를 통해 이미터로 흘러가는데 이 전류는 베이스에 전압을 가해 제어합니다. 이미터는 두 번째로 큰 반도체 부분에 부착됩니다. 마지막으로 중간 반도체 지역에 연결된 베이스가 있어요. 이 지역은 수문지기 역할을 해서 컬렉터에서 이미터를 통과하는 전류를 결정하죠. 전압을 가해서 전류가 흐르게 합니다.
이해를 돕기 위해 The Engineering Mindset 트랜지스터 설명 부분을 참고합니다. (아래 그림으로 보니 이해가 쏙쏙 잘 됩니다)

트랜지스터에서 중요한 경로는 두 가지 입니다.

NPN 트랜지스터는 이미터가 트랜지스터의 음극이에요. 컬렉터와 베이스는 양극이죠. PNP 트랜지스터는 이미터가 트랜지스터의 양극이고, 컬렉터와 베이스가 음극이에요.
대부분의 회로는 NPN 트랜지스터로 만들 수도 있고, 물론 PNP 트랜지스터로도 만들 수 있습니다. 하지만 그럴 경우 전력망을 바꿔야 해요.
🤔 여기서 질문, Bipolar(양극성) Transistor는 왜 이름이 Bipolar 인가요?
바이폴라(Bipolar)는 "두 개의 극성"이라는 의미로, 전자(electrons, 음전하)와 정공(holes, 양전하) 두 가지 전하 캐리어를 모두 사용하기 때문입니다. NPN/PNP 구조에서 베이스에서 이미터로 소수 캐리어가 주입되고, 컬렉터로 다수 캐리어가 흐르는 방식으로 양쪽 전하가 모두 전류 흐름에 기여합니다.
반면 MOSFET은 유니폴라(Unipolar)로 한 가지 전하만 사용(n-channel은 전자만, p-channel은 정공만)하는 차이가 있습니다.
이론은 잠시 접어두고 트랜지스터를 이용해 간단한 회로를 만들어보죠. 어떻게 작동하는지 느껴볼 수 있게요. LED를 켜고 끌 수 있는 회로를 만들거에요. NPN 트랜지스터로요. NPN 트랜지스터는 PNP 트랜지스터보다 이해하기 쉽고 전자 회로에도 흔히 쓰이기 때문입니다.
트랜지스터는 전자 스위치처럼 작동합니다. 전류를 켰다 껐다 할 수 있어요. 트랜지스터는 릴레이와 비슷해요. 둘 다 뭔가를 켰다 껐다 할 수 있죠. 트랜지스터는 또한 부분적으로 켜질 수 있어서 증폭기를 만들 때 유용합니다. 나중에 증폭기로 어떻게 사용하는지 볼 거에요. 하지만 지금은 트랜지스터가 단순히 스위치처럼 작동하는 것을 설명합니다.
바이폴라 트랜지스터는 다리가 3개입니다. 베이스, 컬렉터, 이미터가 있어요. 전기를 켜면 컬렉터를 통해 전류가 이미터로 흘러요. 전기를 끄면 전류가 흐르지 않아요.
여기 9V 배터리, 330옴 저항, LED, 트랜지스터로 구성된 회로가 있어요. 트랜지스터의 베이스가 연결되어 있지 않기 때문에 전류가 흐르지 않아요. LED도 꺼져있어요.

트랜지스터를 켜려면 전압이 0.7V 정도 필요해요. 베이스와 이미터 사이의 0.7V 배터리를 연결하면 트랜지스터가 켜질거에요. 중간에 1kΩ-10kΩ 저항을 넣어야 베이스 전류를 적정 수준(1-10mA)으로 제한하고 안전하게 동작합니다.

하지만 0.7V 배터리가 없는 사람이 대부분이죠. 그러면 트랜지스터는 어떻게 켜죠?
트랜지스터의 기본은 다이오드처럼 작동해요. 저항기를 직렬로 연결하고 배터리에 연결하면 0.7V는 이미터에서 떨어지고 나머지 전압은 저항기에서 떨어집니다. 자동으로 V_BE = 0.7V가 나오죠.

트랜지스터에 마우스를 대면 베이스-이미터 전압(Vbe)이 얼마인지 알 수 있어요. 0.6V~0.7V 인걸 알 수 있죠.

저항기에 전압은 얼마나 떨어질까요? 입력 전압이 9V라면 8.3V가 되겠네요.

전압이 떨어지는 걸 알았으니 전류도 알 수 있어요. 8.3mA가 나오네요.

그러니까 이 작은 전류를 흐르게 하면 트랜지스터가 훨씬 큰 전류를 컬렉터에서 이미터로 흐르게 하는 거죠. 트랜지스터 위에 마우스를 올려 보면 컬렉터 전류가 베이스 전류보다 훨씬 큰 걸 알 수 있습니다.
추가적으로 회로에 버튼을 추가하면 트랜지스터를 제어할 수 있고 LED를 버튼으로 켰다 껏다 할 수 있어요.

트랜지스터의 가장 기본적인 응용은 다른 회로로 가는 흐름을 제어하는데 사용한다는 거에요. 스위치처럼 사용하죠.
여기서는 아날로그 전자 중심으로 설명하기에 높은 출력 부하를 바꾸는 데 트랜지스터가 어떻게 사용될지 논의할 겁니다.
결론: 트랜지스터는 매우 빠르고, 수명이 길며, 작고, 전기적으로 제어 가능하고, 무소음이며, 증폭 기능까지 있습니다.
🤔 그렇다면 트랜지스터의 단점은 뭘까요?
결론: 트랜지스터는 전압 강하와 발열이 있고 완전한 절연이 안 되며, 온도에 민감하고 제어 회로가 필요합니다.
🎯 참고. 전기 아크 = 전기가 공기를 뚫고 지나가는 현상
마치 번개가 하늘에서 치는 것과 같은 원리를 말합니다. 기계식 스위치를 끌 때, 스위치 접점이 떨어지기 시작하고, 접점 사이 거리가 아주 작을 때 (1mm 이하), 전압이 충분히 높으면 공기를 뚫고 전기가 점프하고 파직! 하는 스파크 발생합니다.
아크가 발생하면 아크의 온도가 수천도이기 때문에 스위치 접점을 녹여버려 수명을 단축시킵니다. 전기적 노이즈도 발생시킵니다. 디지털 회로에 오동작을 유발시킬 수 있죠. 접점 주변 플라스틱 손상, 안전 문제도 있습니다.
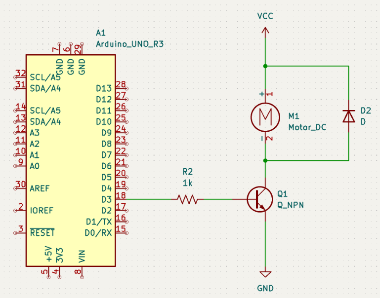
트랜지스터가 스위치로 작동하는 것으로 만들 수 있는 회로를 소개하겠습니다. 예를 들어 트랜지스터를 사용하는 한 가지 방법은 베이스 핀을 마이크로컨트롤러 디지털 핀에 연결하는 겁니다.
사람들이 트랜지스터를 마이크로컨트롤러와 함께 사용하는 주요 이유 중 하나는 I/O 핀이 상대적으로 적은 양의 전류만 공급하기 때문이죠. I/O핀은 5볼트 전압에서 최대 20mA까지 출력할 수 있어요. 높은 출력을 내기엔 부족하죠.

고성능 LED, 전구, 모터 등은 고출력이라서 아두이노 핀에 바로 연결하면 아두이노가 손상될 가능성이 커요.
그래서 PN2222 같은 작은 트랜지스터를 스위치로 사용할 수 있어요. 아두이노 디지털 출력 핀에서 나오는 소량의 전류를 사용해서 훨씬 더 큰 전류를 제어할 수 있습니다.

이 회로에서 다이오드는 역기전력(Back EMF) 보호를 위해 사용됩니다. (참고. 인덕터 > 플라이백 다이오드)
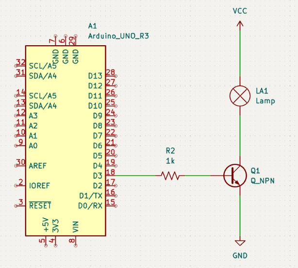
다른 예를 들어보죠. 230V/1.5A 짜리 전구를 콘센트로 작동하는 전구를 마이크로컨트롤러를 이용해 껐다 켰다 해야 한다고 가정해봅시다. 어떻게 할건가요?
트랜지스터의 베이스 핀은 저항기를 통해 I/O핀과 연결되겠군요. 전구는 어디에 달죠? 컬렉터 핀을 230볼트 AC에 연결할까요? 트랜지스터를 날려버리고 싶지 않다면 그렇게 하지 마세요.

일반 트랜지스터는 DC용이고 내압이 낮아서(보통 수십~백 볼트) 230V AC를 직접 스위칭하면 즉시 파괴되며, AC 전압을 처리할 수도 없습니다.
이런 이유로 트랜지스터와 함께 릴레이를 사용하는 경우가 흔합니다. 여기서는 12볼트 릴레이를 쓸 거에요. 코일을 닫으려면 12볼트만 있으면 된다는 뜻이죠.
🤔 트랜지스터 없이 릴레이만으로 제어가 가능한거 아닌가요?
마이크로컨트롤러 GPIO 핀은 보통 10~20mA 정도만 출력 가능하지만, 12V 릴레이 코일은 50~100mA 이상 필요합니다. 또한 마이크로컨트롤러는 3.3V/5V 출력이지만 릴레이는 12V가 필요합니다. 트랜지스터는 작은 베이스 전류(수 mA)를 큰 컬렉터 전류(수십~수백 mA)로 증폭하여 릴레이를 구동합니다.

마이크로컨트롤러 → 트랜지스터 → 릴레이 코일 → 릴레이 접점으로 230V AC 전구 스위칭하는 구조로, 저전압과 고전압 회로가 물리적으로 완전히 격리됩니다.
시뮬레이터에서 회로가 어떻게 보일지 보죠. 스위치를 통해 I/O핀과 트랜지스터 베이스를 연결합니다. NPN 트랜지스터와 릴레이, 230V 교류 전원공급, 전구를 연결해줍니다.

아두이노 I/O 핀이 HIGH(5V)가 되면 트랜지스터가 켜지고, 12V 전원에서 릴레이 코일로 전류가 흐르면서 전자석이 작동해 접점을 당겨 230V AC 회로를 연결합니다.
릴레이 코일과 병렬로 연결된 다이오드는 역기전력 보호용으로, 트랜지스터가 꺼질 때 릴레이 코일에서 발생하는 고전압 스파이크로부터 트랜지스터를 보호합니다.
이 회로의 핵심 장점은 전기적 격리로, 저전압 제어 회로(5V/12V)와 위험한 고전압 AC 회로(230V)가 물리적으로 완전히 분리되어 안전합니다.

다음으로 볼 회로는 화재경보 입니다. 실내 온도가 너무 높으면 LED가 켜지도록 해보겠습니다.
열 작동 스위치 회로의 중요한 부품은 주변 온도에 따라 반응하는 저항기의 일종, Thermistor(서미스터) 입니다. 온도가 낮으면 저항이 증가하고 높으면 감소합니다. 저항이 감소하면 전류가 증가하고 LED가 켜지는 원리입니다.

회로도를 살펴보겠습니다. NPN 트랜지서터의 베이스가 전압 분배 회로와 연결되어있군요.

지금 감지되는 온도는 섭씨 25도. 이 온도에서 저항은 600옴입니다. 전압 분배 회로의 출력은 363mV 입니다. 트랜지스터를 켜기엔 확실히 부족해보입니다. 참, 전압 분리기의 출력 전압 계산법은 알고 계시죠? 전압 분리 방정식을 적용하면 쉽게 계산할 수 있습니다. (참고. 기본 소자 #2: Resistor)
이제 온도가 올라가면 Thermistor의 저항이 감소하고 전압 분리기의 출력이 증가합니다. 온도가 올라갈수록 베이스 전압도 올라갑니다. 그러면 트랜지스터를 켤 수 있을 거에요. 그러면 LED도 켜지죠.

제가 이 회로를 만든 이유는 컬렉터 전류가 베이스 전압에 따라 어떻게 변하는지 보여드리기 위해서 입니다. 컬렉터와 이미터를 통과하는 전류를 계산할 수 없다면 트랜지스터 회로를 어떻게 설계하겠어요?
온도를 내린 다음에 온도를 서서히 올려서 베이스에 적용되는 전압에 따라 전류가 어떻게 변하는지 보시죠.

베이스 전압을 천천히 올릴수록 전류도 천천히 증가합니다. 거의 직선적인 관계에요.
하지만 베이스 전압이 500mV에 이르면 그때부터는 전압이 아주 조금 올라가도 전류가 휠씬 크게 증가합니다. 더 이상 직선적인 관계가 아니에요. 전류는 베이스 전압이 약간 증가한 것에 비해 기하급수적으로 증가합니다.
그리고 주목할 점은 기본 전압이 660mV에 도달하면 그 이후로는 베이스 전압을 더 높여도 전류는 변하지 않아요. 9.7mA에서 멈췄습니다.

다음에서는 트랜지스터의 전압과 전류가 어떻게 서로 의존하는지 알아볼거에요. 하지만 이런 걸 이해하려면 먼저 다양한 동작 모드에 관해 이야기해야 합니다.
저항기는 전압과 전류 사이의 선형적 관계이지만 트랜지스터는 비선형 관계입니다. 아래 그림은 BJT 트랜지스터의 출력 특성 곡선으로, I_C(컬렉터 전류) vs V_CE(컬렉터-이미터 전압) 관계을 보여줍니다.
💻 이미지 출처. 위키백과 > 트랜지스터

전류를 묘사하는 세 가지 동작 모드가 있어요. NPN 트랜지스터를 통한 전류의 흐름은 컬렉터에서 이미터로 전류가 흘러들어 갑니다.
위 그래프를 보면서 설명을 해보자면요.
참고로, Ic(max)는 트랜지스터가 견딜 수 있는 최대 컬렉터 전류, U_CE(max)는 트랜지스터가 파괴되지 않고 견딜 수 있는 최대 전압, Pmax(붉은 대각선 점선)은 최대 소비 전력 곡선을 나타냅니다. 트랜지스터에서 발생하는 열이 한계를 넘지 않도록, 동작점(Q-point)은 반드시 이 점선 아래쪽에 위치해야 합니다. (P = U_CE x Ic)
✍️ 트랜지스터 모드를 알아내려면 세 개의 핀이 각각 지니는 전압과 서로 어떻게 연결됐는지 봐야 해요. 모드를 어떻게 바꾸고 흐름에 어떤 영향을 주는지 조사할 겁니다.
첫번째는 포화 모드입니다. 포화는 트랜지스터의 on-mode 입니다. 포화 모드는 컬렉터와 이미터 사이의 단락 같은 역할을 합니다. 이전 과정에서 트랜지스터를 스위치로 써서 전류를 제어했습니다. 포화 모드로 작동한 겁니다.
트랜지스터가 포화 모드로 작동할 때는 베이스의 전압이 이미터의 전압보다 높아야 하고, 컬렉터의 전압보다 높아야 합니다.
BJT 내부에는 두 개의 PN 접합이 있습니다. 포화 모드가 되려면 이 두 접합(베이스-이미터 접합, 베이스-컬렉터 접합)이 모두 순방향 바이어스(Forward Bias) 상태여야 한다는 거죠.
포화 모드로 작동하면 컬렉터 전류와 이미터 전류는 거의 같습니다. 전선 하나로 같은 전류가 흐르니까요. ( I_C ≈ I_E ).
정확히는 트랜지스터의 베이스에서 이미터로 작은 전류가 흐르니까 논리적으로 생각하면 전류가 두 개가 더해진 거에요. 근데 베이스 전류는 보통 작기 때문에 등식에서 지우고 이미터 전류와 컬렉터 전류는 같다고 보면 됩니다. ( I_E = I_C + I_B )

컬렉터 전류는 어떨까요? 트랜지스터가 합선 회로 역할을 하기 때문에 옴의 법칙을 이용해 간단하게 계산할 수 있습니다. 여기 보이는 것처럼 회로가 있다면 이 전원 공급 전압과 저항기가 트랜지스터를 통과하는 전류를 결정할 거에요. 전원 공급 볼트를 저항기의 저항으로 나누면 전류를 구할 수 있어요.

여기서 중요한 사실은 컬렉터 전류는 부하 저항과 전원 전압에 의해 결정되며 I_B에 비례하지 않는다는 거죠.
이제 두 조건으로 돌아가보죠. 베이스-이미터 접합부는 다이오드처럼 보입니다. 즉, 베이스-이미터 전압이 포화도에 도달하려면 임계 전압을 넘어야 합니다. 트랜지스터에 따라 임계값은 다르고 더 나아가 온도에 따라 다릅니다. 상온의 트랜지스터들은 수치가 0.6-0.7V 정도라고 보면 됩니다.

또 하나 중요한 사실은 컬렉터와 이미터 사이에 완벽한 전도율이 없다는 겁니다. 이는 트랜지스터가 거의 완벽한 단락처럼 동작하지만 실제로는 약간의 저항이 있어서 미세한 전압 강하가 발생한다는 의미입니다. 노드 사이에 약간의 전압이 떨어질 거에요.
트랜지스터 데이터 시트를 보면 이 전압에 대해 있는데, 바로 컬렉터-이미터 포화 전압 "VCE(sat)" 입니다. 이 값은 보통 0.05V - 0.2V 정도로 매우 작습니다. 이 수치는 컬렉터 전압이 이미터 전압보다 약간 더 높으면서도 베이스 전압(0.7V)보다는 작아야 트랜지스터를 포화 모드로 설정할 수 있다는 뜻입니다.

정리해보면 "V_E < V_C < V_B" 관계가 성립하네요. 즉, 베이스 전압이 이미터 전압보다도 높고, 컬렉터 전압보다도 높아야 합니다. 일반적으로 이미터가 GND(0V)에 연결되어 있으면 V_E ≈ 0V, V_C ≈ 0.2V (VCE(sat)), V_B ≈ 0.6V 정도가 된다는 뜻이죠.
🤔 근데 이게 용어가 애매한게... V_B, V_C가 아니라 V_BE, V_CE 라고 해야 맞지 않나요? 헷갈리네요.
예를 들어, 베이스 +5V(입력), 컬렉터 +12V(VCC) 라면 이건 V_B = 5V, V_C = 12V 인걸까요? 그건 아닌거 같습니다. 이거는 전원 전압이고, 위에서 말하는 건 노드 전압입니다. 예를 들어, 컬렉터에 12V 입력전압을 걸어줬다면 Rc 저항으로 전압 강하가 된 다음 남은 전압이 V_C가 되겠네요. 여기서는 V_C가 V_CE와 같은 0.05V - 0.2V 값을 갖는거고요.
즉, 여기서는 V_B, V_C 랑 V_BE, V_CE는 동일한 의미라고 보면 될 거 같네요. (음..)
🎯 여기서는 제대로 설명하지 않았는데, 포화 모드의 전류 조건이 있습니다.
회로 설계 시 가장 많이 확인하는 실질적인 조건입니다. 베이스 전류()를 충분히 흘려주어, 더 이상 컬렉터 전류()가 증폭률()에 따라 늘어나지 못하는 상태를 만들어야 합니다.

결론적으로 베이스에 '증폭에 필요한 양보다 더 많은 전류'를 공급하면, 트랜지스터는 포화 상태에 빠지며 컬렉터와 이미터 사이가 거의 단락(Short)된 것처럼 동작합니다. 실무에서 트랜지스터를 스위치로 확실히 포화시키려면, 계산된 최소 베이스 전류보다 2~10배 정도 더 큰 전류를 흘려주는 'Overdrive' 설계를 주로 합니다.
📌 전압/전류에 따라 포화 모드 조건을 다시 정리해보면:
🤔 실무에서 이 트랜지스터를 스위치(포화)로 쓰겠다 라고 한다면 설계하는 순서는?
중요한 점은, 부하(Rc) 조건이 맞지 않는다면 아무리 베이스를 세게 눌러도 Vc가 내려오지 않아 포화에 실패할 수 있다는 것이죠.
예를 들어, Vcc = 10V, Rc = 1 옴 이라고 해봅시다. 포화가 되려면 V_C가 V_B(0.7) 보다 낮아져야 하므로, Rc에는 최소 9.3V에 전압 강하가 일어나야 합니다. 그러려면 컬렉터 전류가 9.3A 이상 흘러야 하는데, 전원이나 트랜지스터 사양상 불가능할 수도 있죠. 그러므로 아무리 Ib를 세게 줘도 트랜지스터는 포화되지 않고 활성 영역에 머물거나 타버릴 수 있는 겁니다. (오호)
배운 걸 더 구체화해보죠. 여기 간단한 회로가 있는데 컬렉터와 이미터 기본 전류를 계산해야 합니다. 전류를 계산할 때 우리는 트랜지스터가 어떤 작동 모드로 작동하는지 먼저 알아내야 해요.
트랜지스터 위로 마우스를 올리면 오른쪽 하단 코너에 "포화"라고 나옵니다. 왜 포화 모드인거죠?

베이스-이미터 전압(V_BE)는 668mV 입니다. 컬렉터-이미터 전압(V_CE)는 49.7mV 입니다. 이미터 전압 V_E은 GND에 연결돼 있어서 0V 네요. 그런데 왜 V_CE이 49.7mV 인거죠? 트랜지스터가 이상적이었다면 컬렉터와 이미터 사이에 완벽한 전도체 였을 겁니다. 안타깝게도 이상적인 부품이 아니라서 컬렉터에서 이미터로 전압이 약간 떨어집니다. 그 전압이 49.7mV 인거에요.
트랜지스터 포화 모드는 단락 회로 역할을 해서 트랜지스터를 통과하는 전류는 컬렉터가 공급하는 전압을 저항으로 나눠서 계산하면 됩니다. 12V / 1k 옴 = 12mA 인거죠. 사실 컬렉터와 이미터 사이에 약간에 미세한 저항이 합쳐져서 미세한 전압 강하가 일어나긴 하지만 저항이 아주 작고 거의 중요하지 않아서 방정식에서 빼도 됩니다.
베이스 전류는 어떨까요? 전압을 저항값으로 나누면 되겠죠. 여기서는 0.6~0.7V 전압 강하를 고려해야 합니다. 3.3V - 0.6V = 2.7V 에서 1k옴을 나눠주면 대략 2.6~2.7mA 정도가 나옵니다.
베이스 전류와 컬렉터 전류를 알았으니 이제 이미터 전류를 계산할 수 있어요. 이미터 전류는 베이스 전류와 컬렉터 전류의 합과 같죠. 14.6mA가 나옵니다.

📌 포화 모드 조건 확인
결과적으로 V_CE = 49.7mV로 매우 낮아졌고, 이는 트랜지스터가 거의 완벽한 스위치(단락)로 동작하고 있음을 보여줍니다. 베이스 전류를 필요한 것보다 훨씬 많이 주입했기 때문에, 온도나 부품 편차에도 안정적으로 포화 상태를 유지합니다.
다음에 살펴볼 동작 모드는 Cut off(차단 모드)입니다. 차단 모드는 포화 모드와 반대에요. 차단 모드는 개방된(Open) 회로 같아요.

차단 모드 조건은 베이스 전압이 이미터와 컬렉터 전압보다 낮아야 해요. 베이스 전압은 0V에서 V_TH(~0.6V) 전압까지 차단 모드로 작동합니다.
다시말해, BJT 내부의 두 접합(PN 접합)을 모두 역방향 바이어스 상태로 만들어야 합니다.
차단 모드에서는 이론적으로 모든 단자의 전류가 0이 됩니다. 실제로는 컬렉터 전류에서만 아주 미세한 누설 전류가 존재합니다.
🤔 차단 모드는 쉽게 말해 V_B가 0.6V 이하면 되는거 아닌가요?
네, 맞습니다. V_BE < 0.6V이면 베이스-이미터 접합이 순방향 바이어스되지 않아 I_B ≈ 0이 됩니다. 베이스 전류가 거의 0이므로 컬렉터 전류도 I_C ≈ 0이 되어 트랜지스터가 꺼진 상태(스위치 OFF)입니다. 이때 V_CE ≈ V_CC (전원 전압)가 되며, 트랜지스터는 개방 회로처럼 동작합니다.
여기 있는 회로는 이전에 본 것과 아주 비슷합니다.

베이스 핀은 스위치와 연결되어 있고요. 3.3V와 연결되면 포화 모드로 작동합니다.
트랜지스터를 차단 모드로 놓고 싶다면 가장 쉬운 방법은 베이스를 접지시키는 거에요. 스위치를 누르면 접지돼서 트랜지스터로 전류가 흐르지 않아요. 트랜지스터를 켜려면 베이스 전압이 0.6V 한계 전압과 같거나 높아야 하거든요. 시뮬레이터가 친절하게 cut-off 라고 알려줍니다.
말씀드렸다싶이 컷오프 모드는 포화와 반대입니다. 차단 모드는 저항이 최대치에요. 저항이 너무 강해서 트랜지스터가 개방 회로처럼 작용해서 어떤 전류도 통과하지 못하게 합니다.
지금까지 포화모드에서 작동하다가 차단 모드로 전환되는 내용을 설명했습니다. 트랜지스터를 증폭기로 바꾸는 강력한 모드는 액티브 모드에서 작동할 때 나옵니다. 이전 과정에서 우리가 본 스위치 기능 외에 트랜지스터가 앰프로 사용될 수 있어요. 근데 뭘 증폭하는거죠?

오디오 증폭기, RF 증폭기 등 대부분 AC가 신호를 보내죠. 하지만 트랜지스터가 어떻게 작은 교류 신호를 증폭시킬 수 있는지 이해하려면 먼저 트랜지스터의 전압과 전류 사이의 관계를 이해해야 합니다.
트랜지스터를 활성화 모드로 놓으려면 컬렉터 전압이 베이스 전압보다 높아야 합니다. 그리고 베이스 전압이 이미터 전압보다 높아야 합니다. 정확히는 최소 한계 전압(0.6V)보다 높아야 합니다.
다시 말해, NPN 트랜지스터를 기준으로, 두 접합부에 서로 다른 방향의 바이어스를 걸어줘야 한다는 거죠. 베이스-이미터 접합은 순방향 바이어스, 베이스-컬렉터 접합은 역방향 바이어스 상태가 되어야 합니다. V_BC < 0.4V ~ 0.5V 상태여야 합니다. 결과적으로 V_CE 전압은 보통 0.3V를 유지하게 됩니다.
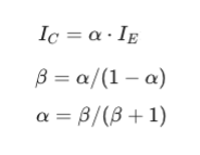
트랜지스터의 중요한 특징은 작동 모드와 상관없이 반드시 알아야 하는 건데 증폭 인자 라고 해요. 모든 바이폴라 트랜지스터(BJT)는 어떤 모드든 간에 증폭 인자가 있어요. current gain(전류 이득) 이라고도 하며 β 라는 기호를 사용합니다.
증폭 인자가 왜 중요하죠? 트랜지스터가 활성 모드에서 작동하면 전류가 컬렉터의 전원 공급 전압과 같지 않거든요. 컬렉터 전류는 베이스 전류 x β 를 한 것과 같아요. β의 실제 값은 트랜지스터에 따라 다릅니다. 보통 100 정도인데 50~200까지 혹은 2000까지 사용합니다. 사용하는 트랜지스터의 종류와 전류량에 따라서요.
예를 들어 트랜지스터가 β =100 라면 입력 전류로 1mA가 베이스로 흘러들면, 컬럭터를 통해 100mA 전류를 생성할 수 있습니다. 그러면 이미터 전류는요? 여기서는 α 라는 상수 값이 또 있어요. α는 보통 0.95~0.99 정도로 1에 매우 가깝습니다. 즉, 컬렉터 전류가 이미터 전류와 가깝지만 그보다는 적다는 뜻입니다.
α, β 를 이용하면 α 나 그 반대 값도 계산할 수 있죠. α가 1에 가까울수록 분모가 작아져 β는 커집니다.

🎯 β = α / (1 - α) 유도 과정
따라서 I_B = I_E - I_C 가 되며, 이것을 β 정의에 대입합니다. β = I_C / I_B = I_C / (I_E - I_C) 가 됩니다. 여기서 분자와 분모를 I_E로 나누면:

이렇게 되고요. 여기다가 α = I_C/I_E 를 대입시키면 "β = α / (1 - α)" 이라는 공식이 나오게 되는거죠. 역으로, α = β / (β + 1) 도 유도할 수 있습니다. 예를 들어볼까요? 베타가 100이면 알파는 대략 0.99 라는 뜻 입니다. 컬렉터 전류가 100mA라면 이미터 전류는 101mA 인거에요.
이처럼 액티브 모드는 작은 교류 신호를 증폭하는 데 사용하죠. 아래 회로는 교류 신호를 10배로 증폭시킵니다. 트랜지스터가 액티브 모드로 작동한다는 걸 보여드리기 위해 소개했습니다. 나중에 이런 회로를 어떻게 구성하는지 자세히 분석할 겁니다.

일단 위 회로에서 입력 교류 신호와 그에 딸려 오는 출력 요소를 제거해볼게요. 직류 관점에서 살펴보죠. 우선 트랜지스터 위에 마우스를 올리면 시뮬레이터가 활성화 모드에서 작동한다고 알려줍니다.

이 작동 모드에서 반드시 만족해야 할 조건은 컬렉터 전압이 베이스 전압보다 높고(V_C > V_B), 베이스 전압이 이미터 전압보다 높아야 한다(V_B > V_E)는 겁니다.
주의할 점은 지금 회로를 보면 포화 모드처럼 이미터 전압이 0V 일 리 없다는 거죠. 이미터는 GND와 직접 연결되지 않고 저항기를 통해 연결되니까요. 어쨌거나 두번째 조건도 충족됩니다.
이제 시뮬레티어 없이 회로의 전압과 전류를 계산해봅시다. 우선 베이스 전압을 계산해 보죠. 쉽습니다. 트랜지스터의 베이스는 전압 분리 회로에 연결되어 있어요. 이 값을 계산해보면 출력 전압이 1.6V 정도 나옵니다.

1.6V가 베이스 전압인데 다이오드에서 0.6~0.7V 전압을 빼면 이미터 전압은 928mV가 됩니다. 982mV가 저항기에 의해 전압 강하가 되므로 옴의 법칙으로 전류를 계산할 수 있어요. 982mV / 1k옴 = 982 uA 가 되죠.
이미터 전류를 아니까 베이스 전류를 계산할 수 있어요. 어떻게 계산하죠? 그걸 계산하는 방법은 두 가지인데 쉬운 방법을 보겠습니다. 트랜지스터가 활성모드에서 작동하면 Ic = β * Ib 와 같아요. 그리고 Ic = α * Ie 와 같아요. α = β / (β + 1) 공식까지 적용하면 Ie로 Ib를 구할 수 있습니다.

여기서 트랜지스터의 β는 100 이라고 해봅시다. (시뮬레이터에서 원하는 값으로 수정할 수 있어요). 이 값을 방정식에 연결하면 베이스 전류 IB = IE / (1 + β) = 982μA / 101 = 9.7μA 가 됩니다.
마지막으로 컬렉터를 통과하는 전류의 양을 계산하는 건 식은 죽 먹기죠. 컬렉터 전류 IC = β * IB 입니다. 컬렉터 전류는 베이스 전류보다 100배나 높습니다. 따라서 972.9μA 입니다.
아, 그리고 컬렉터 전압은 V_C = VCC - (I_C × R_C) 공식으로 계산할 수 있습니다. 20V 전원에서 시작해서 컬렉터 저항(10kΩ)에서의 전압 강하를 빼면 됩니다. 여기서는 V_C = 20V - (972.9μA × 10kΩ) = 20V - 9.729V = 10.271V ≈ 10.3V 가 됩니다.
한가지 흥미로운 부분이 있습니다. 컬렉터 저항의 값을 바꿔도 컬렉터 전류가 조금도 변하지 않습니다. (포화모드와 다르죠?)

왜 그럴까요? 활성 모드에서는 I_C = β × I_B로 결정되므로, 베이스 전류가 고정되어 있으면 컬렉터 저항을 바꿔도 컬렉터 전류는 변하지 않고, 대신 컬렉터 전압(V_C)만 변합니다. 트랜지스터가 정전류원(constant current source)처럼 동작하는 것입니다.
단, 컬렉터 저항을 너무 크게 하면 V_C가 너무 낮아져 포화 모드로 전환될 수 있습니다. (하긴 그렇게 되면 V_B > V_C 가 되겠네요). 반대로, 컬렉터 저항을 너무 작게하면 V_C가 VCC에 가까워질 뿐 계속 활성 모드로 동작하네요.
🤔 그러면 컬렉터 저항을 어느 정도로 크게 해야 포화 모드로 전환되는걸까요?
포화 모드 조건은 V_C < V_B이므로, 이 회로에서는 컬렉터 전압이 1.6V 이하로 떨어져야 합니다. V_C = 20V - I_C × R_C < 1.6V → R_C > (20V - 1.6V) / 973μA ≈ 19kΩ 이상이면 포화 모드로 전환됩니다.

실제로, 현재 10kΩ 저항을 20kΩ로 바꿨더니 컬렉터 전압이 베이스 전압(1.6V) 아래로 떨어지면서 활성 모드에서 포화 모드로 전환된 것을 알 수 있습니다. 이때부터는 I_C = β × I_B 관계가 더 이상 성립하지 않네요.
hFE (또는 β)는 트랜지스터의 전류 이득(Current Gain)으로, 작은 베이스 전류(I_B)를 몇 배로 증폭하여 큰 컬렉터 전류(I_C)를 만드는 증폭 계수입니다 (I_C = β × I_B)
β 값은 트랜지스터마다 다르며(보통 100~300), 데이터시트에 hFE로 표기되고, 작은 AC 신호(오디오, RF 등)를 증폭할 때 이 원리를 활용합니다.

트랜지스터 데이터시트를 한번 살펴봅시다. (💻 출처: BC546 트랜지스터 데이터시트)

BC546 트랜지스터 Collector-Base 최대 전압은 80V 정도라고 나옵니다. 이걸 넘어가면 트랜지스터는 파괴됩니다.

V_CB(max) = 80V는 컬렉터-베이스 접합이 견딜 수 있는 최대 역방향 전압입니다. 이 값을 초과하면 접합이 항복(breakdown)되어 트랜지스터가 파괴될 수 있습니다. 회로 설계 시 컬렉터 전압과 베이스 전압의 차이(V_C - V_B)가 80V를 넘지 않도록 해야 하며, 보통 안전 여유를 두고 정격의 70~80% 이하로 설계합니다. (예: 활성 모드에서 V_C가 높을 때 주의가 필요)
다음으로 넘어가서 DC Current Gain 이 있습니다. 이게 바로 증폭 인자를 의미합니다.

최소값이랑 최대값이 있네요. 예를 들어, BC546을 보면 최소가 110이고 최대가 450입니다.
근데 너무 격차가 큰거 아닌가요? 네, 맞습니다. 하지만 이것은 정상입니다. BJT 트랜지스터의 β(hFE) 값은 제조 공정상 편차가 매우 커서, 같은 모델이라도 개체별로 2~4배 차이가 나는 것이 일반적입니다.
그래서 β 값에 의존하지 않는 회로 설계가 중요하며, 이미터 저항을 사용한 네거티브 피드백, 차동 증폭기, 또는 연산 증폭기(Op-Amp)를 사용하여 β 편차의 영향을 최소화합니다. 스위칭 회로에서는 충분히 큰 베이스 전류로 확실히 포화시키는 방식으로 설계합니다.
V_BE(on)은 트랜지스터가 켜진 상태(도통 상태 = 포화상태)일 때 베이스-이미터 접합의 순방향 전압 강하입니다. 다이오드처럼 실리콘 PN 접합이므로 보통 0.6~0.7V 정도입니다.

데이터시트를 보면 컬렉터 전류가 클수록 V_BE가 약간 증가하는데(2mA일 때 0.55~0.7V, 10mA일 때 최대 0.77V), 이는 전류가 많이 흐를수록 접합 전압이 조금 올라가는 다이오드 특성 때문이며, 회로 계산 시 보통 0.7V로 근사합니다.
🤔 V_BE(sat)이 있고 V_BE(on)이 있는데 뭔 차이인가요?
🤔 Current Gain(전류 이득), Amplification Factor(증폭 인자) 는 같은 말인가요?
Current Gain(전류 이득)은 β = I_C / I_B로, 베이스 전류가 몇 배로 증폭되어 컬렉터 전류가 되는지를 나타냅니다. Amplification Factor는 보통 Current Gain과 같은 의미로 사용되지만, 문맥에 따라 전압 이득(A_v = V_out / V_in)을 포함하는 더 넓은 개념일 수 있습니다.
BJT에서는 대부분 둘 다 β를 가리키는 같은 용어로 사용되며, "전류 증폭률"을 의미합니다.
트랜지스터에 대해 할 이야기가 많기 때문에 나머지 내용은 2편에서 다루겠습니다.
처음에 트랜지스터를 공부하려고 했을 때, 트랜지스터는 스위치 용도, 증폭기 용도가 있고... 모드도 3가지나 있어서 이게 뭔 소린지 싶었습니다. 음... 특히 포화모드와 활성모드 처럼 조건에 따라 특성이 달라지고, 용도가 달라진다는 점에서 헷갈렸던거 같습니다. 이제는 뼈대가 어느 정도 잡힌 상태에서 보니까 이해가 되는 거 같네요.
큰 그림을 먼저 본다음에 세부적으로 접근했어야 했나 봅니다. 트랜지스터... 만만치 않은 녀석이니 여러번 봐야겠네요.