1 Perceptron
A Perceptron is an algorithm for supervised learning of binary classifiers.
: 이진 분류기의 지도학습을 위한 알고리즘

- 가중치는 정답과 예측의 차이(오차)에 비례하여 바뀜
- 퍼셉트론 1개는 하나의 output 가짐, 여러 개를 분류하려면 퍼셉트론도 여러 개 필요
2 Biological / Artificial Neural Network
🧑🏻🏫
Hebb rule
시냅스 양쪽의 뉴런이 동시에, 반복적으로 활성화되었다면 그 두 뉴런 사이의 연결강도가 강화된다.
⇒ 뉴런의 각 파트에 따라 특성이 달라짐


| Biological NN | Artificial NN |
|---|
| Neuron | Perceptron |
| Dendrite | Input |
| Axon | Output |
| Synapse strength | Weight |
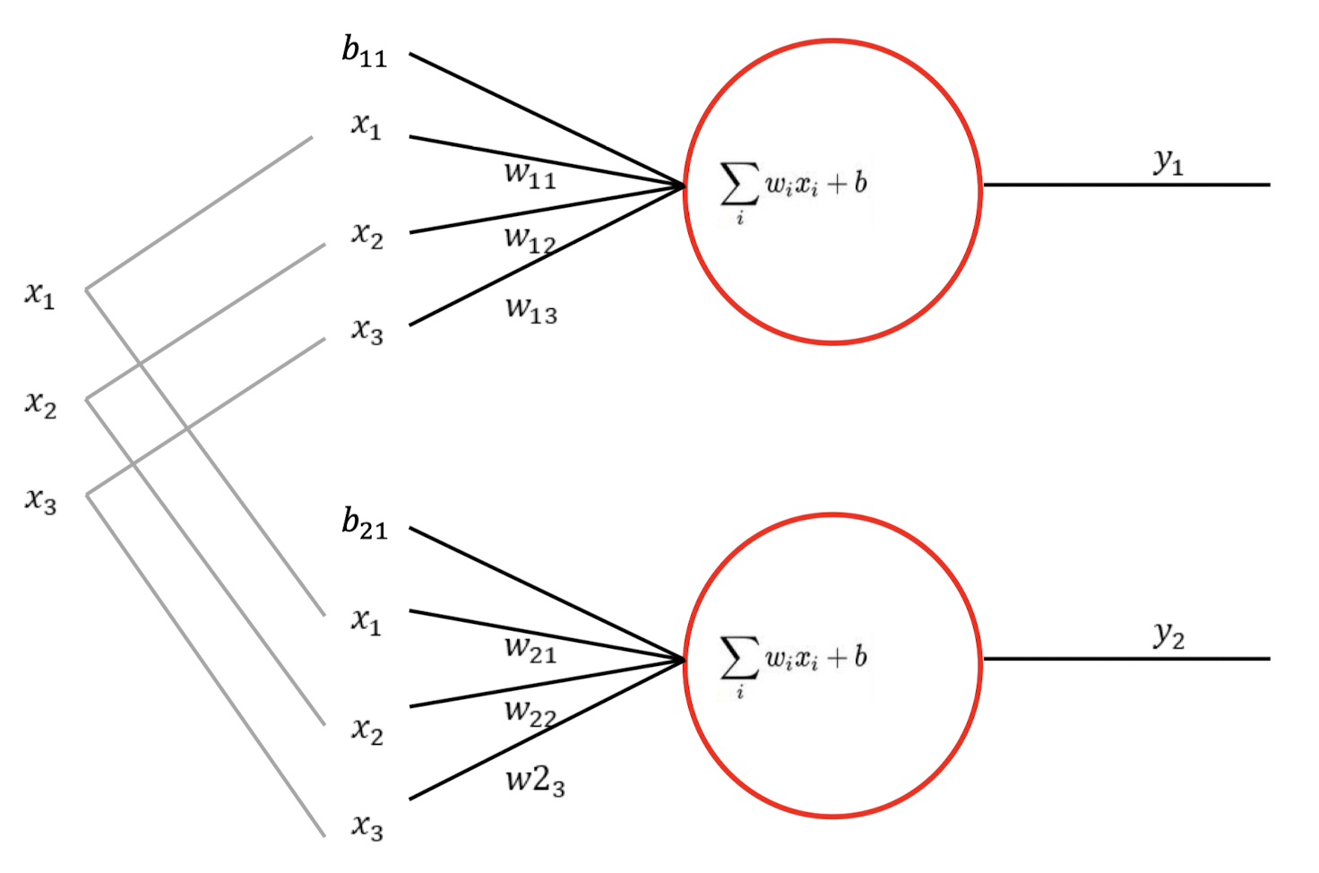
ANN 간단한 예제

이 네트워크를 식으로 표현하면?
y1=w1x1+w2x2+w3x3+b ⇒ 그냥 regression과 동일
이 네트워크를 행렬 형식으로 표현하면? ( XW=Y )
$\begin{bmatrix}
x_1 & x_2 & x_3 & 1
\end{bmatrix}
\begin{bmatrix}
w_1
\w_2
\w_3 \b\end{bmatrix}
\begin{bmatrix}
y_1
\end{bmatrix}$
perceptron이 하나 더 늘어난다면?

- input은 동일
- weight 수가 많아지므로 연산량도 늘어남
- 행렬의 각 열은 하나의 퍼셉트론 의미
$\begin{bmatrix}
x1 & x_2 & x_3 & 1
\end{bmatrix}
\begin{bmatrix}
w{11} & w{21} \
w{12} & w{22} \
w{13} & w{23} \
b{11} & b_{21}
\end{bmatrix}
\begin{bmatrix}
y_1 & y_2
\end{bmatrix}$
NN 간단 과정
- weight, bias등 파라미터의 초기값 설정
- cost 확인 (cost function 사용)
- 역전파를 통해 파라미터 수정
- 오차가 threshold보다 작아질 때까지 과정 반복
3 Multi-layered neural network

- 퍼셉트론이 있는 곳이 hidden layer
- hidden layer가 2개 이상 있는 것을 Deep learning이라고 한다.
4 Deep learning
NN과 ANN의 차이를 만들 무언가 필요
- one-hot encoding
- softmax
- activation function
One-hot encoding
가장 높은 확률을 1로, 나머지는 0으로 설정

4.1 Softmax
🧑🏻🏫
-
G.T의 각 값은 one-hot encoding을 나타냄
-
따라서, 우리는 네트워크의 결과를 확률로 매치해야 함
-
결과값을 확률로 변환하는 걸 ‘Softmax’라고 함
output을 확률(합이 1)로 나타낼 때, 보통 증가하는 함수를 사용
예제
Original output: y=[0.30.70.2]
함수로 y′=2y 사용
New output: y′=[1.23111.62451.1487]
P(y′)=∑j=13yj′yi′=[0.30750.40570.2869]

왜 softmax function으로 지수함수를 쓰는가?
⇒ Bayes 정리와 관련이 있기 때문
- 지수함수는 곱을 표현하기 쉽게 함
- log를 쓰면 덧셈으로 바뀌어서 미분과 학습이 쉬워짐

Cross entropy
- 분류의 cost function으로 자주 사용
H(P,Q)=Ex∼P[−logQ(x)]=−∑xP(x)logQ(x)
→ P(x): 정답, Q(x): 예측값


⇒ 0 아니면 1이니까 예측 맞으면 cost 0, 틀리면 무한대
예제
Prediction: Q(x)=[0.30750.40570.2869]
Ground truth: P(x)=[100]
Cross entropy:
H(P,Q)=−(1×log0.3075+0×log0.4057+0×log0.2869)
4.2 Activation functions
활성화 함수가 필요한 이유: 비선형적인 데이터를 분석하기 위해

Sigmoid
- 수를 [0, 1]로 매핑시킴
- backpropagation이 0에 가까워져 우리가 찾고자 하는 weight, bias가 사라지는 문제 “Gradient Vanishing”
- sigmoid의 출력값들은 “not zero-centered”
- exp() 연산 비용

“not zero-centerd”
예측과 정답의 차이가 커도 페널티를 최대 0.25밖에 주지 못함.
다 틀린 경우 0.25 X 0.25 X … 는 0에 수렴하는데, 이는 cost가 0이라는 것
역전파가 진행될수록 아래 layer에 아무 신호가 전달되지 않음
시그모이드 함수의 출력값은 모두 양수기 때문에 경사하강법을 할 때, 그 기울기가 모두 양수거나 음수가 된다. 이로 인해 기울기 업데이트가 지그재그로 변동하고, 학습 속도가 저하된다.
tanh

- [-1, 1]
- zero centered
- gradient vanishing
ReLU (Rectified Linear Unit)

f(x)=max(0,x)
- computationally efficient
- 수렴 속도 빠름
Leaky ReLU

f(x)=max(0.01x,x)
- computationally efficient
- 수렴 속도 빠름
- not “die”