
Paper : https://dl.acm.org/doi/pdf/10.1145/3126594.3126651
Dataset : https://www.kaggle.com/datasets/onurgunes1993/rico-dataset (7GB)
Huggingface : https://github.com/creative-graphic-design/huggingface-datasets_Rico
참고하면 좋을만한 관련 블로그 : https://velog.io/@sukyeongs/DeepLearning-Rico-Dataset-%EB%B6%84%EC%84%9D%ED%95%B4%EB%B3%B4%EA%B8%B0
Mobile app design(Screenshot of UI)에 대한 데이터셋
5가지의 Data-driven applications를 수행할 수 있음
Data-driven applications
데이터를 수집, 분석, 처리하여 유의미한 인사이트를 제공하거나 자동화된 결정을 내리는 애플리케이션
- 데이터를 중심으로 작동하며, 데이터를 활용하여 사용자에게 더 나은 서비스와 인사이트를 제공함
: Data-driven model에서 유용하게 쓰일만한 design dataset을 구축하기 위해 UI에 대한 dataset을 만들었음
Human powered Exploration + Automated Exploration을 함께 사용하면서 구축함
(Android app을 사용하는 runtime 동안 design data를 데이터 마이닝할 수 있음)
Human powered Exploration : 사용자가 직접 앱을 사용하면서 얻은 user interaction trace을 기록함
Automated Exploration : automated agent를 사용하여 이 사용자의 trace를 replay하면서 programmatically(프로그래밍을 통해) exploration 하는 과정을 기록함

ERICA
데이터 마이닝과 분석 과정에서 자주 사용되는 단계별 접근 방식
- E (Explore): 탐색, 데이터를 이해하고 탐색하는 단계
- R (Retrieve): 추출, 분석에 필요한 데이터를 다양한 소스에서 수집하고 통합하는 단계
- I (Identify): 식별, 데이터를 분석하여 패턴, 관계, 트렌드 등을 식별하는 단계
- C (Cluster): 군집화, 유사한 특성을 가진 데이터 포인트를 그룹으로 묶는 단계
- A (Analyze): 분석, 최종 분석을 통해 결과를 도출하고 해석하는 단계
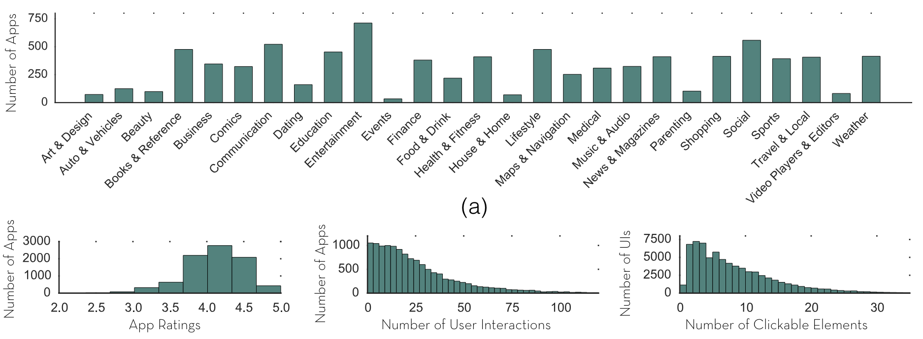
: 27개의 구글스토어 카테고리에서 9772개의 앱을 골라 얻은 72219개의 UI로 구성되어있음

Android App datasets
: 안드로이드 앱에 대한 다양한 데이터셋을 확인할 수 있음
- Google Playstor Metadata : 구글 플레이에서 얻을 수 있는 앱에 대한 데이터 (reviews, ratings 등)
- Software engineering and security related information
- Design data
Data-driven design app
: UI를 구성하는 모든 design 요소를 확인할 수 있음
(web design, mobile app flows, 3D modeling, interior design, fashion, programming 등)
UI Layout Generation
: design generative model에 design datset을 이용해서 학습시킬 수 있음
UI Code Generation
: 인기 있는 앱에서는 어떤 code component들을 사용하고 있는지 한눈에 볼 수 있음
이를 통해 automatically하게 code generation하여 앱을 develop할 수 있음
User Interaction Modeling
: 사용자가 어떻게 각기 다른 UI들과 상호작용하고 있는지 확인할 수 있음
User Perception Prediction
: 사용자의 반응을 볼 수 있기 때문에 앱 디자인에 대한 피드백을 즉각적으로 받을 수 있음
Data-driven models
데이터에 기반하여 학습하고 예측하는 모델
- 대량의 데이터를 분석하여 패턴을 식별하고 이를 통해 미래의 결과를 예측하거나 결정하는 데 사용됨
- 양질의 데이터를 수집하고 이를 효과적으로 분석하여 유의미한 결과를 도출함
Data Mining
대량의 데이터에서 유의미한 패턴, 관계, 트렌드 등을 발견하고 추출하는 과정

Google play store에서 9772개의 free app을 다운로드 받아서 13명의 worker들에게 사용하고 interaction trace data를 얻음
그 후, automated crawler를 사용해서 automated exploration data를 얻음

Google Play Store Metadata
User Interaction Traces
UI sequence에 대한 user interaction trace
Unique UIs
겹치는 UI를 제외하고 남은 UI screenshot들
Element Details
AutoDroid의 View ID처럼 UI에 대한 annotated elements
Rico Dataset 자체가 크므로, deep learning application을 학습시키기에는 충분함
Training Autoencoder with Rico Dataset

Input : embed layout information를 포함한 이미지 (생성해서 넣음)
Encoder
Decoder
Output : 학습된 모델이 64차원 벡터 공간에서 UI를 어떻게 표현하고, 이 공간에서 유사한 UI를 어떻게 찾아내는지 보여줌
UI sceenshot과 그 screenshot에 대한 element detail을 담은 json 파일로 이루어져있음
// 1.json
root":{5 items
"ancestors":[...]4 items
"class":string"com.android.internal.policy.PhoneWindow$DecorView"
"bounds":[4 items
0:int0
1:int0
2:int1440
3:int2560
]
"clickable":boolfalse
"children":[2 items
0:{5 items
"ancestors":[5 items
0:string"android.webkit.WebView"
1:string"android.widget.AbsoluteLayout"
2:string"android.view.ViewGroup"
3:string"android.view.View"
4:string"java.lang.Object"
]
"bounds":[4 items
0:int0
1:int0
2:int1440
3:int2214
]
"clickable":booltrue
"class":string"org.apache.cordova.engine.SystemWebView"
"componentLabel":string"Web View"
}
1:{6 items
"ancestors":[4 items
0:string"com.google.android.gms.ads.BaseAdView"
1:string"android.view.ViewGroup"
2:string"android.view.View"
3:string"java.lang.Object"
]
"class":string"com.google.android.gms.ads.AdView"
"bounds":[4 items
0:int1
1:int2217
2:int1439
3:int2392
]
"clickable":boolfalse
"children":[1 item
0:{6 items
"ancestors":[...]4 items
"class":string"com.google.android.gms.ads.internal.webview.n"
"bounds":[...]4 items
"clickable":boolfalse
"children":[...]1 item
"componentLabel":string"Web View"
}
]
"componentLabel":string"Advertisement"
}
]
}
root
ancestors : 이 UI에 있는 모든 element class name에 대한 문자열이 포함되어있음
class : 해당 element의 class name을 나타내는 문자열임
bounds : 해당 element의 bounding box를 나타내는 정수 배열이 포함되어있음
clickable : 해당 element가 click 가능한지 나타내는 bool 값
children : 해당 element에서 이어지는 다른 element에 대한 값들을 포함하고 있음
children
componentLabel : 해당 element의 component label을 나타내는 문자열연구에 적용할 수 있는 부분
- Ferret이 GRIT dataset을 이용해 학습한 것처럼, Rico Dataset를 이용해 Ferret 모델을 fine-tuning하면 UI intent에 대한 이해도를 높이고 모델의 정확도를 높일 수 있음