이 내용은 윤성우의 열혈 자료구조를 학습한 내용입니다.
재귀함수란 함수 내에서 자기 자신을 다시 호출하는 함수를 의미한다.

Recursive 함수의 복사본이 만들어져서 복사본이 실행되는 구조로 재귀함수가 호출된다.🚩 재귀함수는 반복되는 구조(패턴)를 찾는 것이 중요하다.

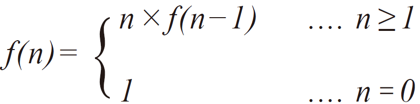
f(0) 에 해당하는 0! 이 재귀함수의 탈출조건이 된다.#include <stdio.h>
int Factorial(int n)
{
if(n==0) // 탈출조건
return 1;
else // 재귀함수 호출
return n * Factorial(n-1);
}
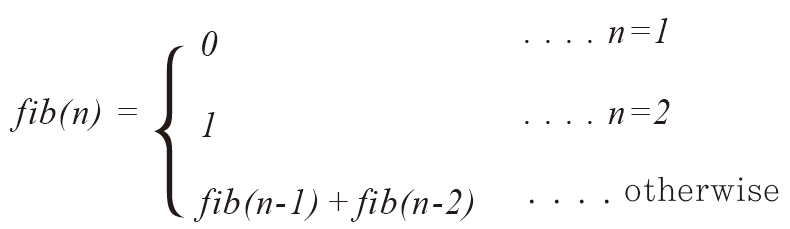
이전의 두 수를 더해서 현재 수를 만들어가는 수열
수열의 n번째 값 = 수열의 n-1번째 값 + 수열의 n-2번째 값
#include <stdio.h>
int Fibo(int n)
{
if(n==1)
return 0;
else if(n==2)
return 1;
else
return Fibo(n-1)+Fibo(n-2);
}
Fibo(7)을 실행했다고 한다면 return Fibo(6) + Fibo(5); 가 실행된다.+ 연산자 왼편에 있는 Fibo 함수호출이 완료되어야 비로소 오른편에 있는 Fibo 함수호출이 진행된다.
이진 탐색의 두 번째 시도 이후부터는 탐색 대상을 찾을 때까지 동일한 패턴을 반복할 뿐이다.
탐색 범위의 중앙에 목표 값이 저장되었는지 확인
저장되지 않았다면 탐색 범위를 반으로 줄여서 다시 탐색 시작
✅ 종료 조건
first > lastint BSearchRecur(int ar[], int first, int last, int target)
{
int mid;
if(first > last)
return -1; // -1의 반환은 탐색의 실패를 의미
}
int BSearchRecur(int ar[], int first, int last, int target)
{
int mid;
// if(first > last)
// return -1;
mid = (first+last) / 2; // 탐색 대상의 중앙을 찾는다.
if(ar[mid] == target)
return mid; // 탐색된 타겟의 인덱스 값 반환
}
#include <stdio.h>
int BSearchRecur(int ar[], int first, int last, int target)
{
int mid;
// if(first > last)
// return -1;
// mid = (first+last) / 2;
// if(ar[mid] == target)
// return mid;
else if(target < ar[mid])
return BSearchRecur(ar, first, mid-1, target);
else
return BSearchRecur(ar, mid+1, last, target);
}
📌 탐색의 범위를 반으로 줄여서 다시 BSearchRecur 함수를 호출하는 것이 핵심이다.
🚩 재귀함수를 구현하기 위해서는 탈출조건과 반복패턴을 잘 정리하는 것이 중요하다.
‘하나의 막대에 쌓여 있는 원반을 다른 하나의 원반에 그대로 옮기는 방법’에 관한 것이다.

→ 하노이 타워 문제는 위 제약사항을 만족하면서 A의 모든 원반을 C로 옮기는 문제이다.

위와 같은 패턴을 확장시켜 일반화하게 된다면 다음과 같다.
n-1 개(맨 아래 원반을 제외한 나머지 원반)를 A에서 B로 이동n-1 개를 B에서 C로 이동⇒ 원반 n 개를 이동하는 문제는 원반 n-1 개를 이동하는 문제로 세분화되고, 결국 원반 1개를 이동하는 문제로 세분화된다.
// from에 꽂혀있는 num개의 원반을 by를 거쳐서 to로 이동
void HanoiTowerMove(int num, char from, char by, char to)
{
}
void HanoiTowerMove(int num, char from, char by, char to)
{
if(num==1) // 이동할 원반의 수가 1개라면
{
printf("원반1을 %c에서 %c로 이동 \n", from, to);
}
else
{
....
}
}
n-1 개(맨 아래 원반을 제외한 나머지 원반)를 A에서 B로 이동void HanoiTowerMove(int num, char from, char by, char to)
{
if(num==1) // 이동할 원반의 수가 1개라면
{
printf("원반1을 %c에서 %c로 이동 \n", from, to);
}
else
{
HanoiTowerMove(num-1, from, to, by); // 3단계 중 1단계
}
}
n-1 개를 B에서 C로 이동void HanoiTowerMove(int num, char from, char by, char to)
{
if(num==1) // 이동할 원반의 수가 1개라면
{
printf("원반1을 %c에서 %c로 이동 \n", from, to);
}
else
{
HanoiTowerMove(num-1, from, to, by); // 3단계 중 1단계
printf("원반%d를 %c에서 %c로 이동 \n", num, from, to); // 2단계
HanoiTowerMove(num-1, by, from, to); // 3단계
}
}
참고: 윤성우의 열혈 자료구조