Linear Regression이란?
- 종속 변수(Dependent Variable)와 하나 이상의 독립 변수(Independent Variable) 간의 관계를 선형적인 함수(직선)로 모델링하는 기법이다.
Deterministic Models
- 무작위성이 없다고 가정한다.
- 변수간의 정확한 관계가 있다.
- ex) BMI(체질량지수)
Probabilistic Models
- 현실 세계의 불확실성을 모델에 포함시킨 것이다.
- 두 가지 요소로 구성된다.
- 결정론적 요소: 변수에 의해 정확하게 결정되는 규칙적인 부분
- 무작위 오차: 변수만으로는 설명되지 않는 불확실한 부분
- ex) 신생아의 수축기 혈압(SBP)
SBP = 6 age(days) + ϵ
→ 6age(days)는 결정론적 요소
→ 입실론은 무작위 오차
Regression Models
- 데이터사이언스에서 말하는 Regression Models은 Probabilistic Models을 의미하는 것이다.
- Regression Model은 dependent variable(종속변수)와 explanatory variable(설명변수) 간의 관계를 설명하는 것이다.
- Prediction(예측)과 Estimation(추정)이 주된 목적이다.
Specifying the Deterministic Component
- 모델에서 수식으로 설명할 수 있는 규칙 부분을 어떻게 설정할지 정하는 과정은 크게 두 가지 단계로 나눌 수 있다.
- 변수 정의: 무엇을 예측할지, 무엇을 가지고 예측할지 정하는 것
- 가설 수립: 수학적으로 어떤 모양일지 가설을 수립하는 것
→ 함수 형태 Linear or Non-Linear
Types of Regression Models

Linear Equations

Population vs Sample Regression

- Population Regression (모집단 회귀): 모집단은 전체 데이터 집합을 의미한다. 현실적으로 전체를 다 조사하는 것은 불가능하므로 관측이 불가능하다. (Not Observable)
- Sample Regression (표본 회귀): 실제로 수집한 일부 데이터(표본)을 가지고 계산한 회귀선이다. 회귀선을 통해 관측 가능하다.(Observable)
- 표본(Sample)이 충분히 크고, 무작위로 선택(Randomly Selected)되었다면 Sample Regression Line은 Population Regression Line의 좋은 근사치가 될 수 있다.
- Hyperthesis test(통계적 가설 검정): 표본의 정보를 사용해서 가설의 합당성 여부를 판정하는 과정
- Sample 데이터에 대한 regression을 수행하고, 이에 대한 Hyperthesis test를 통해서, 결과에 대한 합당성을 판정한다.
Estimating Parameters: Least Squares Method
Least Squares
- 실제값과 예측값의 차이를 통해 가장 좋은 직선을 찾아 나간다.
- SSE (Sum of Squared Errors): S=∑i=1n(Yi−Y^i)2=∑i=1n(Yi−(β0+β1Xi))2
- 왜 제곱을 하는가? → 오차를 단순히 더하면 양수와 음수가 서로 상쇄되어 0이 될 수 있다. → 따라서 부호를 없애고 오차의 크기 자체를 줄이기 위해 오차를 제곱해서 더한다.
Estimating β0,β1

Interpretation of Coefficients (계수 해석)
- Slope(기울기, β1)
- X가 변할 때 Y가 얼마나 민감하게 반응하는가를 나타낸다.
- 독립변수(X)가 1단위 증가할 때, 종속변수(Y)는 β1만큼 변한다고(증가 또는 감소) 추정한다.
- Y-Intercept(Y-절편, β0)
- 그래프가 Y축과 만나는 점으로, 시작점이나 기본값을 의미한다.
- 독립변수(X)가 0일 때, 종속변수(Y)의 평균적인 값이다.
Goodness of Fit for Simple Linear Regression
R2 (R-squared, 결정계수)

- 회귀모델이 실제 데이터를 얼마나 잘 설명하고 있는가를 0과 1사이의 숫자로 나타낸 지표이다.
- 의미: regression line이 얼마나 실제 데이터를 가깝게 설명하는지를 나타내는 수치이다.
- 해당값 만큼 y 값의 variation이 regression line으로 잘 설명된다는 의미이다.

SE (Standard Error of Estimate)

- 회귀모델이 실제 데이터와 평균적으로 얼마나 떨어져 있는지를 나타내는 지표이다. 즉, 모델의 예측이 얼마나 정밀한지를 보여주는 값이다.
- DF(degree of freedom, 자유도) = n-2
- 오차를 계산하기 위해 2개의 파라미터(기울기, 절편)를 미리 추정해서 사용했기 때문에 n-2를 사용한다.
- SE 값은 작을수록 좋다.
통계학에서 말하는 degree of freedom
- 어떤 통계치를 계산하기 위해 미리 구해놓은(고정된) 다른 추정치가 있다면, 그 개수만큼 전체 데이터 개수(n)에서 뺀다.
- ex)
- df(표본평균) = n
- df(표준편차) = n-1 ← 표준편차를 계산하려면 먼저 표본평균을 알아야하기 때문
- df(SE) = n-(k+1) ← k개의 slope와 1개의 intercept 추정치가 입력으로 사용되기 때문
SE of coefficients
- 각 coefficient에 대한 표준에러
- 예측한 coefficient의 정확도가 얼마나 되는지를 나타냄
- 이것도 구할 수 있다 정도로 알고 넘어가면 된다라고 하심
linear regression 결과 검증
이 모델이 정말 믿을만한지, 그리고 변수들 간의 관계가 우연이 아니라 진짜 통계적으로 의미가 있는지를 깐깐하게 따져보는 단계이다.
- 관계가 어느 정도인가?
- R-squared
- SE(Standard Error)
- 통계적으로 유의미한가?
- t-test
- Confidence Interval(신뢰도 구간)
T-test
구한 기울기가 통계적으로 정말 의미가 있는 값인가?를 검증하는 절차이다.
- 가설 설정 (Hypothesis Setup)
- 두 가지 상반된 가설을 세우고 시작한다.
- 귀무가설 (H0, Null Hypothesis): 아무런 관계가 없다.
- 수식: β1=0
- 의미: 기울기가 0이므로, X가 변해도 Y는 변하지 않는다.
- 대립가설 (Ha, Alternative Hypothesis): 관계가 있다.
- 수식: β1=0
- 의미: 기울기가 0이 아니므로, X가 변하면 Y도 변한다.
- t-value 계산
- 우리가 구한 기울기(β^1)가 0에서 얼마나 멀리 떨어져 있는지를 표준 오차(SE) 단위로 잰 값이다.
- 이 t값(절대값)이 클수록 0에서 멀리 떨어져 있다는 뜻이므로, 관계가 있다(Ha)는 주장에 힘이 실린다.
- 반대로 t값이 0에 가깝다면, 기울기가 사실상 0이나 다름없다는 뜻이 된다.
- P-value와 유의수준(α)
- 계산한 t-value를 가지고 최종 판결을 내린다.
- P-value (유의확률): 만약 진짜로 관계가 없는데(β1=0), 우연히 내 데이터처럼 기울기가 나올 확률이다.
- 이 확률이 아주 낮아야 우연이 아님을 확신할 수 있다.
- 유의수준 (α, Significance Level): 허용할 수 있는 오차의 한계이다. 보통 0.05 (5%)를 많이 사용한다.
- [판정규칙]
- P-value < α (예: 0.05): 우연일 확률이 5%도 안 된다.
- 결론: 귀무가설 기각 → 통계적으로 유의미한 관계가 있다.
- P-value ≥α: 우연히 이렇게 나올 수도 있다.
- 결론: 귀무가설 기각 실패 → 관계가 있다고 단정 짓기 어렵다.
t-value and p-value

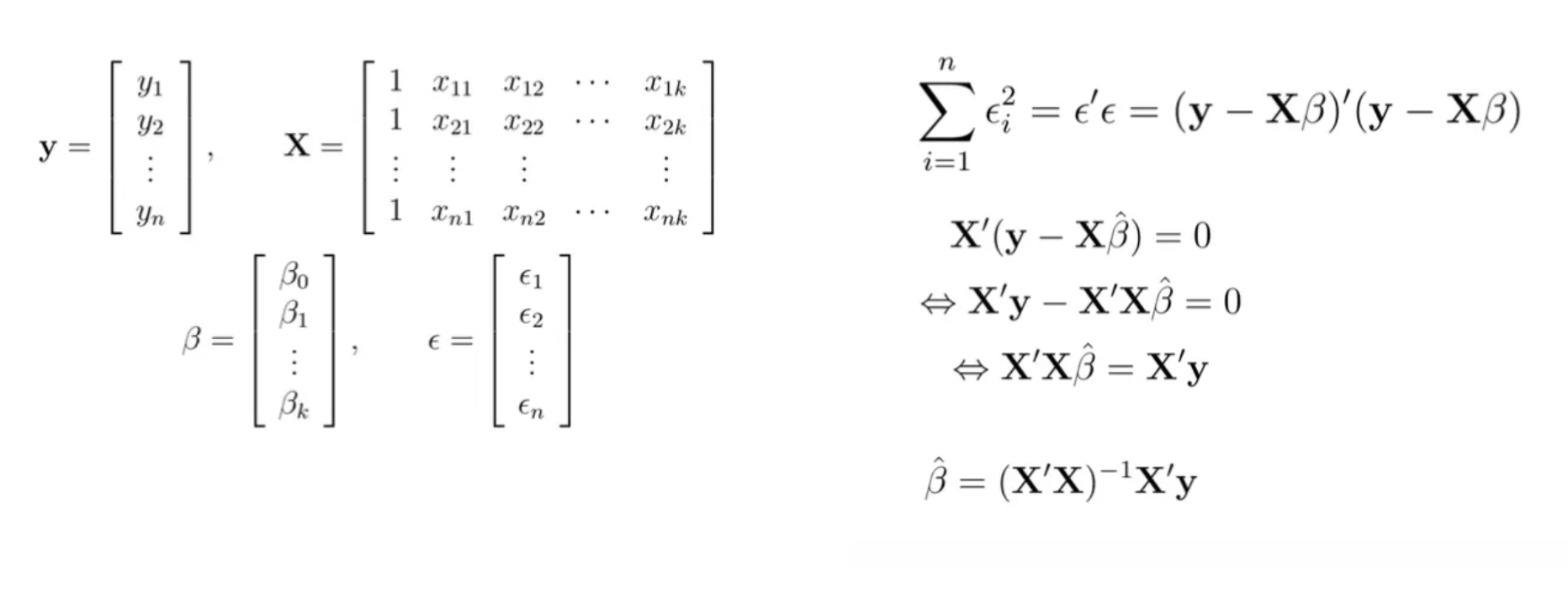
Multiple linear regression
단순 선형 회귀(Simple Linear Regression)가 하나의 설명 변수(X)로 종속 변수(Y)를 설명했다면, 다중 선형 회귀는 두 개 이상의 설명 변수가 함께 작용하여 Y를 설명하는 모델이다.
- 수식
- Y=β0+β1X1+β2X2+⋯+βkXk+ϵ
- 파라미터 추정
- 여기서도 최소 제곱법(Least Squares Method)을 사용하여 오차의 제곱합을 최소화하는 β들을 찾는다.
- ex

Linear algebra method
