Histogram : 이미지의 밝기 분포(픽셀 값)를 시각적으로 나타내는 것이다. 이는 이미지의 대비, 밝기, 명암비 등을 분석하는 핵심적 도구이다.
그래프가 한쪽에 몰려있는 경우 : 대비가 낮은 이미지이다.
그래프가 고르게 분포하는 경우 : 대비가 높은 이미지이다.
대비가 높은 이미지는 히스토그램의 분포가 고르다. 따라서 히스토그램 분포가 고를수록 이미지의 디테일이 더 잘 드러난다고 볼 수 있다.
Histogram Stretching : 히스토그램을 넓게 분포시켜, 대비를 상승시키는 기법이다.
예제
위와 같은 경우, 픽셀이 중간에 몰려있으므로 대비가 낮은 이미지이다.

이 히스토그램을 넓게 펼친다는 것은, 5~9 사이에 있는 값들을 고르게 분포시킨다는 것이다.
5~9 사이의 값들을 2~14의 값들로 Linear하게 펼친 결과는 다음과 같다.

원본 히스토그램의 픽셀 값들을 특정 방법(위 경우 Linear 함수를 사용)으로 넓게 분포시키는 것이 히스토그램 스트레칭이다.
Piecewise linear stretching function : 두 끝 점을 정의하면, 해당 점 사이에 존재하는 값들은 전부 Linear 함수에 의해 결정된다.
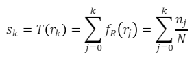
Histogram Equalization : 히스토그램 평활화는 입력 이미지의 Gray Level 분포를 가능한 한 균일하게 만드는 것이다. 이는 이미지의 전체적인 대비를 향상시키고, 더 많은 디테일들을 명확하게 볼 수 있도록 돕는다.
Ideal case : 이산적인 값을 갖는 입력 이미지에 특정 함수를 적용한 계산 결과, Gray Level을 완전 균등하게 분포시킨다.
Continuous case : 연속적인 값을 갖는 이미지의 경우, 히스토그램을 확률 밀도 함수(PDF)로 만들어 이 함수를 정규화함으로써 히스토그램 평활화를 진행한다.
위와 같은 경우, 의 히스토그램 평활화의 결과로 가 된 것이다.
이때, 의 정의역은 이다.
결론적으로, 이다. 즉, 두 함수의 넓이는 동일하다.
따라서 우리는 아래 식을 유도할 수 있는 것이다.
히스토그램 평활화 비교
입력 이미지가 연속적인 값을 갖는 경우
입력 이미지가 이산적인 값을 갖는 경우
히스토그램 평활화 과정
1). 히스토그램을 구한다.
2). 히스토그램을 총 픽셀수로 나눈다.
3). 누적 분포(CDF)를 구한다.
4). 누적 시킨 값에 gray level의 최댓값(255)를 곱한다.
5). 반올림 또는 버림을 통해 정수값으로 변환한다.
6). 구해진 정수값을 히스토그램 평활화 결과로 반환한다.
히스토그램 스트레칭 : 이미지의 히스토그램을 확장하여 픽셀 값이 0 ~ 255의 범위 전체에 분포하도록 조정하는 기법이다.
이미지의 명암비를 개선하기 위한 목적.
입력 이미지의 최소 및 최대 픽셀 값을 찾아 이 값을 이용해 명암 범위를 재조정
사람이 수동으로 계산을 해야한다.
히스토그램 평활화 : 이미지의 히스토그램을 평탄하게 만들어, 모든 픽셀 값이 가능한 한 동일한 빈도로 분포하도록 조정하는 기법.
이미지의 명암비를 극대화하여 더 많은 디테일을 드러내기 위한 목적
이미지의 누적 분포 함수(CDF)를 이용하여 픽셀 값을 다시 매핑
자동으로 계산을 적용할 수 있다.
완벽하게 Uniform한 결과는 거의 얻기 힘들다.