DFS 알고리즘은 Depth-First Search의 줄임말로 깊이 우선 탐색이라고 부르며, 그래프에서 깊은 부분을 우선적으로 탐색하는 알고리즘이다.
그래프는 노드(Node) = 정점(Vertex)와 간선(Edge)으로 표현된다.
DFS 알고리즘에서는 주로 스택(Stack)과 재귀 함수가 주로 사용된다.
스택(Stack)이란 선입후출(First In Last Out) 또는 후입선출(Last In First Out) 구조를 나타낸다.
python에서는 기본 자료형인 list를 통해 나타낸다.
stack = []
stack.append(1) # [1]
stack.append(2) # [1, 2]
stack.pop() # [1]
stack.append(3) # [1, 3]
stack.append(4) # [1, 3, 4]
stack.append(5) # [1, 3, 4, 5]
stack.pop() # [1. 3. 4]
print(stack)
# 출력 결과
# [1, 3, 4]
재귀 함수란 자기 자신을 다시 호출하는 함수를 말한다.
아래의 코드를 보자.
# 반복 방식
def factorial_iterative(n):
result = 1
for i in range(1, n+1):
result *= i
return result
# 재귀 방식
def factorial_recursive(n):
if n <= 1:
return 1
return n * factorial_recursive(n-1)
print(factorial_iterative(5))
print(factorial_recursive(5))
# 출력결과
# 120
# 120
재귀 함수 코드에서 factorial_recursive 함수는 제일 처음 함수를 실행할 때(n=5)부터 재귀적으로 n=1이 될 때까지 총 5번 호출 되었다.
최종적으로 5!의 연산 결과인 120이 반환되었지만, 아래와 같이 코드를 바꿔보면
def factorial_recursive(n):
print(f"함수 호출됨 n = {n}")
if n <= 1:
print(f"계산 완료됨 result = 1")
return 1
result = n * factorial_recursive(n-1)
print(f"계산 완료됨 result = {result}")
return result
print(factorial_recursive(5))
# 출력 결과
# 함수 호출됨 n = 5
# 함수 호출됨 n = 4
# 함수 호출됨 n = 3
# 함수 호출됨 n = 2
# 함수 호출됨 n = 1
# 계산 완료됨 result = 1
# 계산 완료됨 result = 2
# 계산 완료됨 result = 6
# 계산 완료됨 result = 24
# 계산 완료됨 result = 120
# 120
연산 과정이 스택과 유사하다는 것을 알 수 있다.
이러한 성질을 사용해 위 팩토리얼 예시처럼 스택을 사용하지 않고도 스택을 사용하는 것과 유사한 효과를 낼 수 있다.

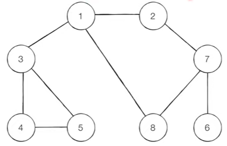
위 그림에서 각각의 노드를 연결된 다른 노들를 기준으로 코드로 표현하면 아래와 같이 나타낼 수 있다.
[
[], # 노드가 1번부터 시작되므로 0번에 빈 값을 넣어준다.
[2, 3, 8],
[1, 7],
[1, 4, 5],
[3, 5],
[3, 4],
[7],
[2, 6, 8],
[1, 7]
]
이것을 DFS로 풀어보면 다음과 같다(숫자가 낮은 노드를 우선적으로 탐색한다).
def dfs(graph, n, visited):
visited.append(n)
for i in graph[n]:
if i not in visited:
dfs(graph, i, visited)
return visited
graph = [
[], # 노드가 1번부터 시작되므로 0번에 빈 값을 넣어준다.
[2, 3, 8],
[1, 7],
[1, 4, 5],
[3, 5],
[3, 4],
[7],
[2, 6, 8],
[1, 7]
]
print(dfs(graph, 1, []))
# 출력 결과
# [1, 2, 7, 6, 8, 3, 4, 5]